Free Access
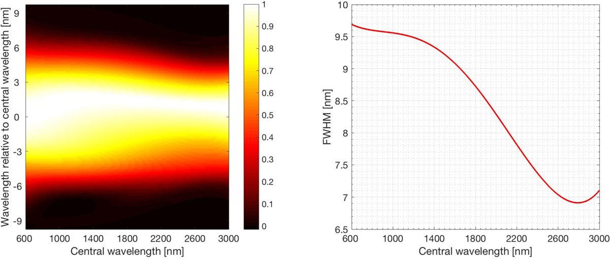
Fig. 6

Left: relative spectral responses distribution in the exit slit of the SOLAR/SOLSPEC IR channel (slit functions). The intensity distributions are not symmetrical. Right: FWHM values of the SOLAR/SOLSPEC slit functions (IR channel) areshown.
Current usage metrics show cumulative count of Article Views (full-text article views including HTML views, PDF and ePub downloads, according to the available data) and Abstracts Views on Vision4Press platform.
Data correspond to usage on the plateform after 2015. The current usage metrics is available 48-96 hours after online publication and is updated daily on week days.
Initial download of the metrics may take a while.