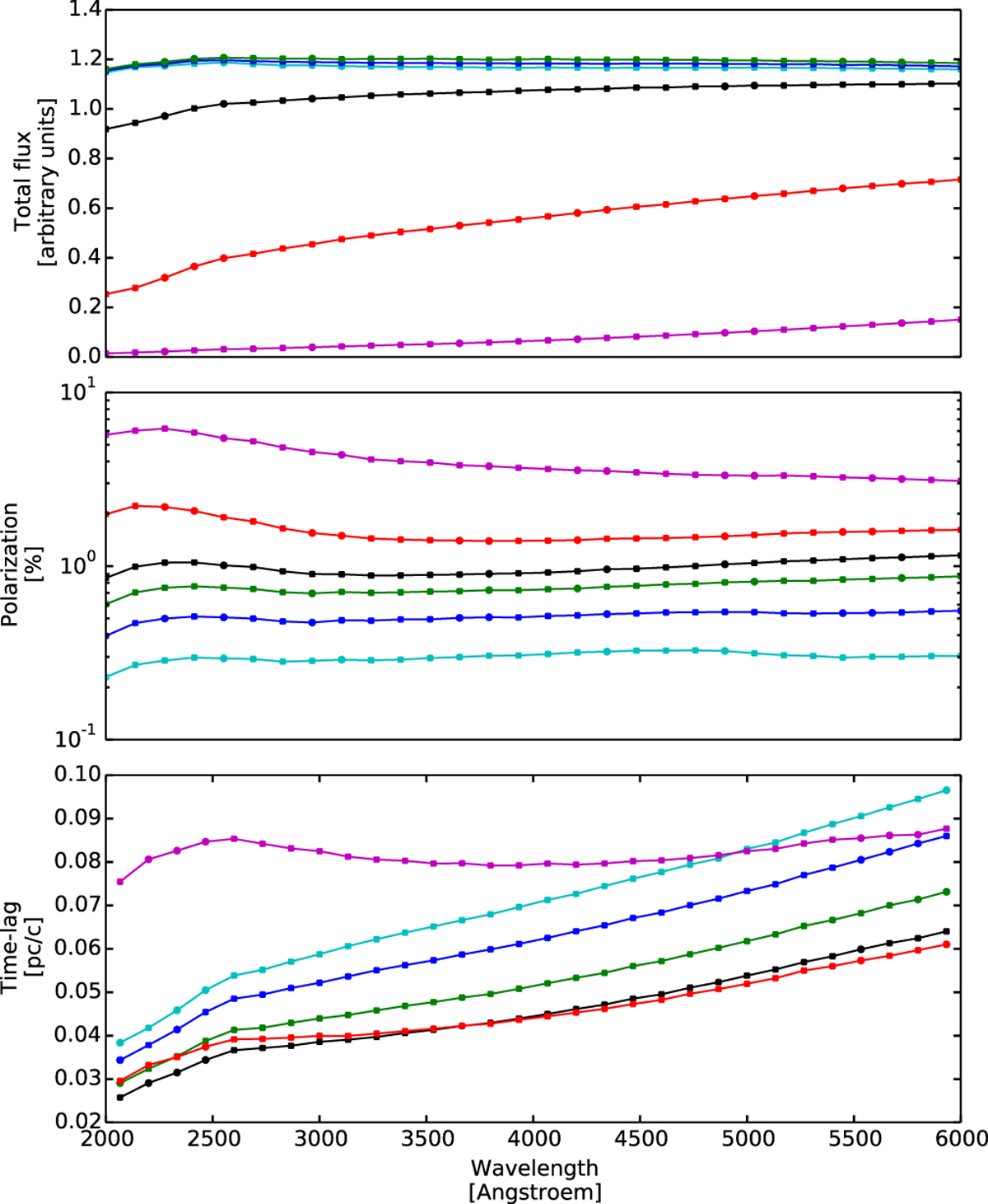
Fig. 4

Results of STOKES time-dependence version for the uniform dusty torus geometry. Top: total flux, polarization percentage, and time lag as a function of wavelength and for different viewing angles: the magenta dots denote θ = 79.9∘ , and the red dots θ = 71.0∘ , which represents a type 2 view. The black dots show θ = 61.64∘ , a view close to the torus horizon. Type 1 views are shown in green (θ = 51.3∘ ), blue (θ = 39.19∘ ), and cyan(θ = 28.9∘ ). Middle: percentage of polarization. Bottom: time lag.
Current usage metrics show cumulative count of Article Views (full-text article views including HTML views, PDF and ePub downloads, according to the available data) and Abstracts Views on Vision4Press platform.
Data correspond to usage on the plateform after 2015. The current usage metrics is available 48-96 hours after online publication and is updated daily on week days.
Initial download of the metrics may take a while.