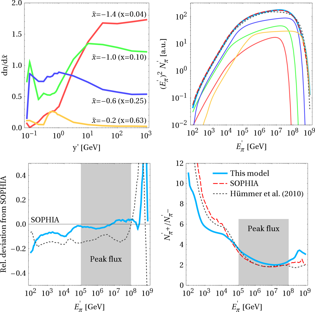
Fig. A.2

Illustration of new interaction model implementation (based on SOPHIA) for photo-meson production of π+ from pγ interactions for GRB benchmark from Hümmer et al. (2010): re-distribution functions (upper left panel), spectral contributions (upper right panel), relative deviation from SOPHIA (lower left panel), and charged pion ratio (lower right panel). (See main text for details.)
Current usage metrics show cumulative count of Article Views (full-text article views including HTML views, PDF and ePub downloads, according to the available data) and Abstracts Views on Vision4Press platform.
Data correspond to usage on the plateform after 2015. The current usage metrics is available 48-96 hours after online publication and is updated daily on week days.
Initial download of the metrics may take a while.