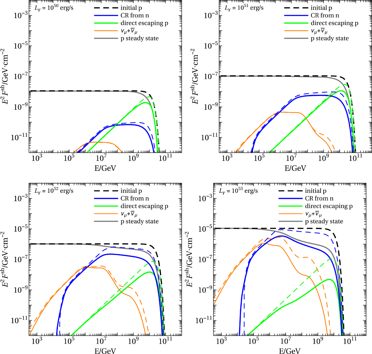
Fig. C.1

Comparison of optically thin (upper row) and thick (lower row) proton-neutron systems for pure proton injection. Ejected particle fluences per shell are shown as a function of the energy in the observer’s frame for different luminosities. The dashed curves refer to the model used in Baerwald et al. (2013), while the solid lines refer to the model used in this work. (See main text for details.)
Current usage metrics show cumulative count of Article Views (full-text article views including HTML views, PDF and ePub downloads, according to the available data) and Abstracts Views on Vision4Press platform.
Data correspond to usage on the plateform after 2015. The current usage metrics is available 48-96 hours after online publication and is updated daily on week days.
Initial download of the metrics may take a while.