Open Access

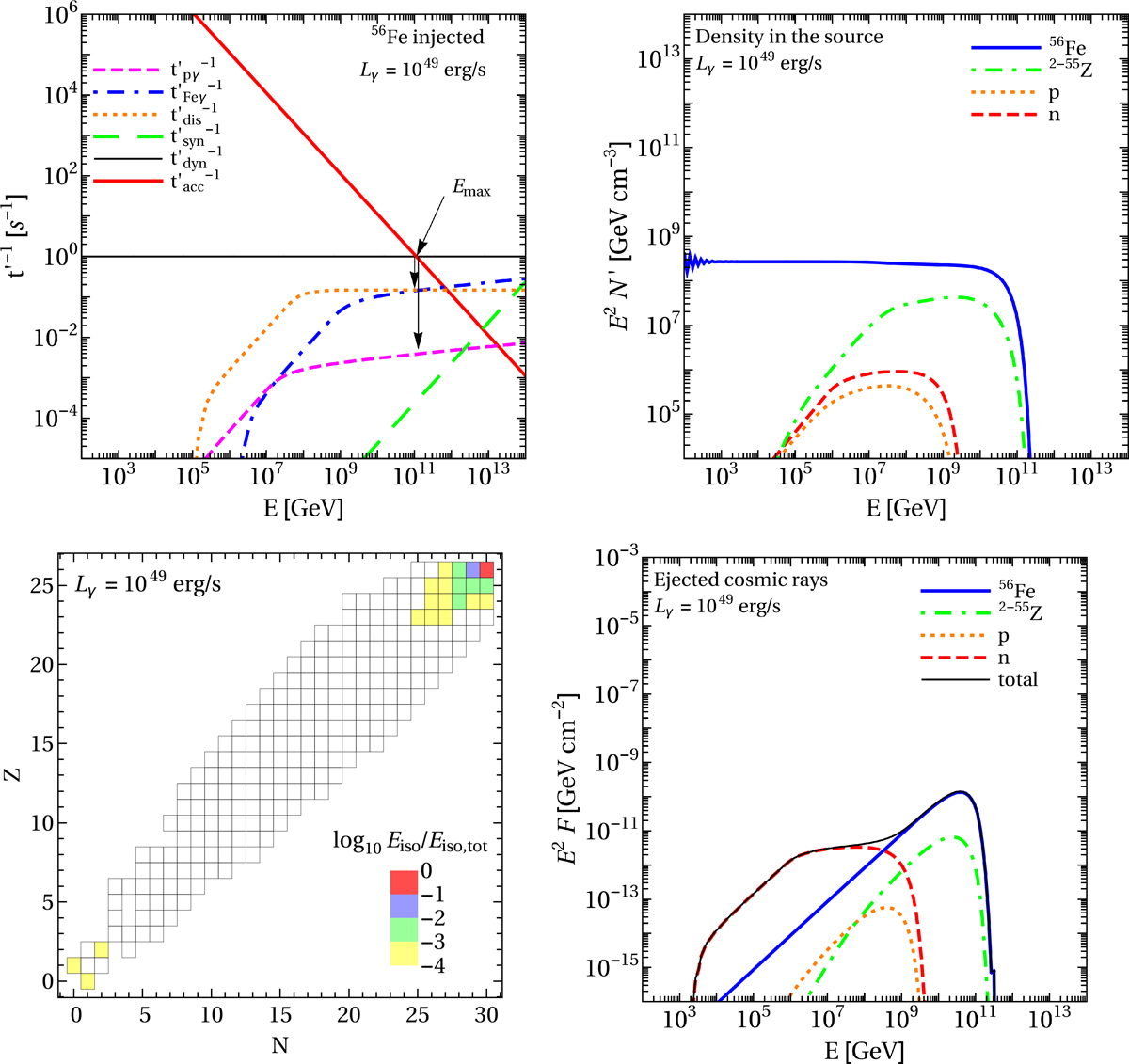
Fig. 4

image

Example for the “Empty Cascade” source class (isotropic luminosity Lγ = 1049 erg s−1 ) for injection of pure 56Fe. Interaction rates (top left), particle densities in the source (top right), nuclear cascade (bottom left), and ejected cosmic ray fluence per shell (bottom right, without CMB and EBL interactions) as a function of the energy in the observer’s frame. The different curves in the right panels correspond to the different isotopes: primary 56Fe in blue, secondaries produced in nuclear cascade according to legend, where the result from secondary nuclei other than nucleons are summed over. The other GRB parameters are chosen to be R ≃ 108.3 km, Γ = 300, ξFe = 10, keV, and z = 2.

Current usage metrics show cumulative count of Article Views (full-text article views including HTML views, PDF and ePub downloads, according to the available data) and Abstracts Views on Vision4Press platform.

Data correspond to usage on the plateform after 2015. The current usage metrics is available 48-96 hours after online publication and is updated daily on week days.

Initial download of the metrics may take a while.