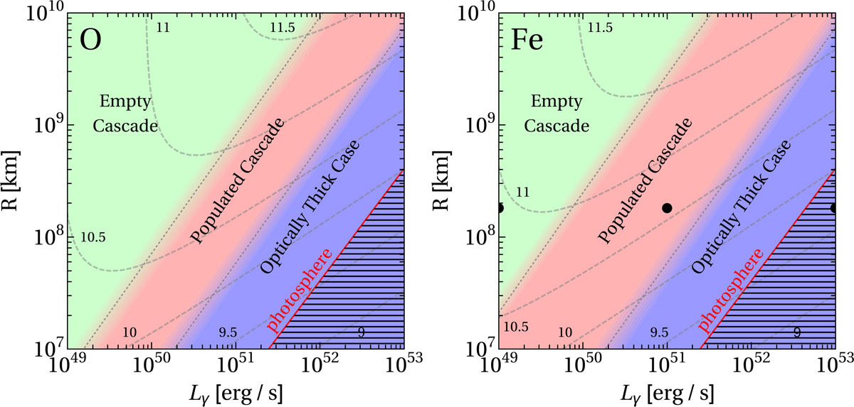
Fig. 7

Nuclear cascade class as a function of luminosity Lγ and collision radius R in the internal shock scenario. The injection composition is pure 16O (left left) or 56Fe (right panel). The other parameters are the same as in Fig. 4. Black dots indicate the position of the examples shown in Sect. 3. The gray dashed contours display log 10 (Ei,max[GeV]) in the observer’s frame. Below the photosphere (red solid line), gamma-rays cannot leave the source anymore due to electron-positron pair production. We note that in this figure we fix Γ = 300, and scale tv ∝ R according to Eq. (8).
Current usage metrics show cumulative count of Article Views (full-text article views including HTML views, PDF and ePub downloads, according to the available data) and Abstracts Views on Vision4Press platform.
Data correspond to usage on the plateform after 2015. The current usage metrics is available 48-96 hours after online publication and is updated daily on week days.
Initial download of the metrics may take a while.