Free Access
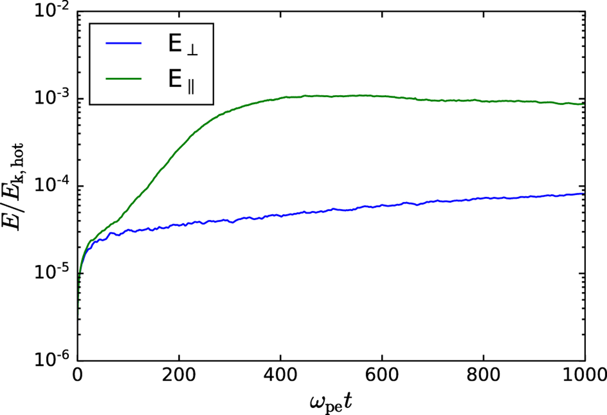
Fig. 1

Time evolution of the electric energy density in the parallel and perpendicular directions to the magnetic field lines in Model 2M (Table 1), normalized to the kinetic energy density of hot electrons for the maximal growth rate and the gyro-harmonic number s = 6.
Current usage metrics show cumulative count of Article Views (full-text article views including HTML views, PDF and ePub downloads, according to the available data) and Abstracts Views on Vision4Press platform.
Data correspond to usage on the plateform after 2015. The current usage metrics is available 48-96 hours after online publication and is updated daily on week days.
Initial download of the metrics may take a while.