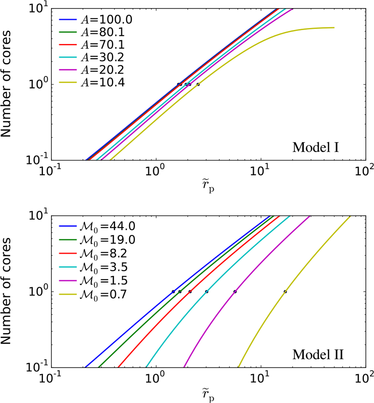
Fig. F.1

Probable number of self-gravitating cores found within radius . Upper panel:Model I plotted with ϵ = 1 and for several values of the density envelope amplitude, A. Lower panel: Model II without thermal support for several values of the global cloud Mach number,
. The circles mark the values where one self-gravitating core is found. In the range of our interest, that is, where
equals a few, there is an almost linear dependance between
and
.
Current usage metrics show cumulative count of Article Views (full-text article views including HTML views, PDF and ePub downloads, according to the available data) and Abstracts Views on Vision4Press platform.
Data correspond to usage on the plateform after 2015. The current usage metrics is available 48-96 hours after online publication and is updated daily on week days.
Initial download of the metrics may take a while.