Free Access
This article is a note for:
[https://doi.org/10.1051/0004-6361/201731522]


Fig. 3

image

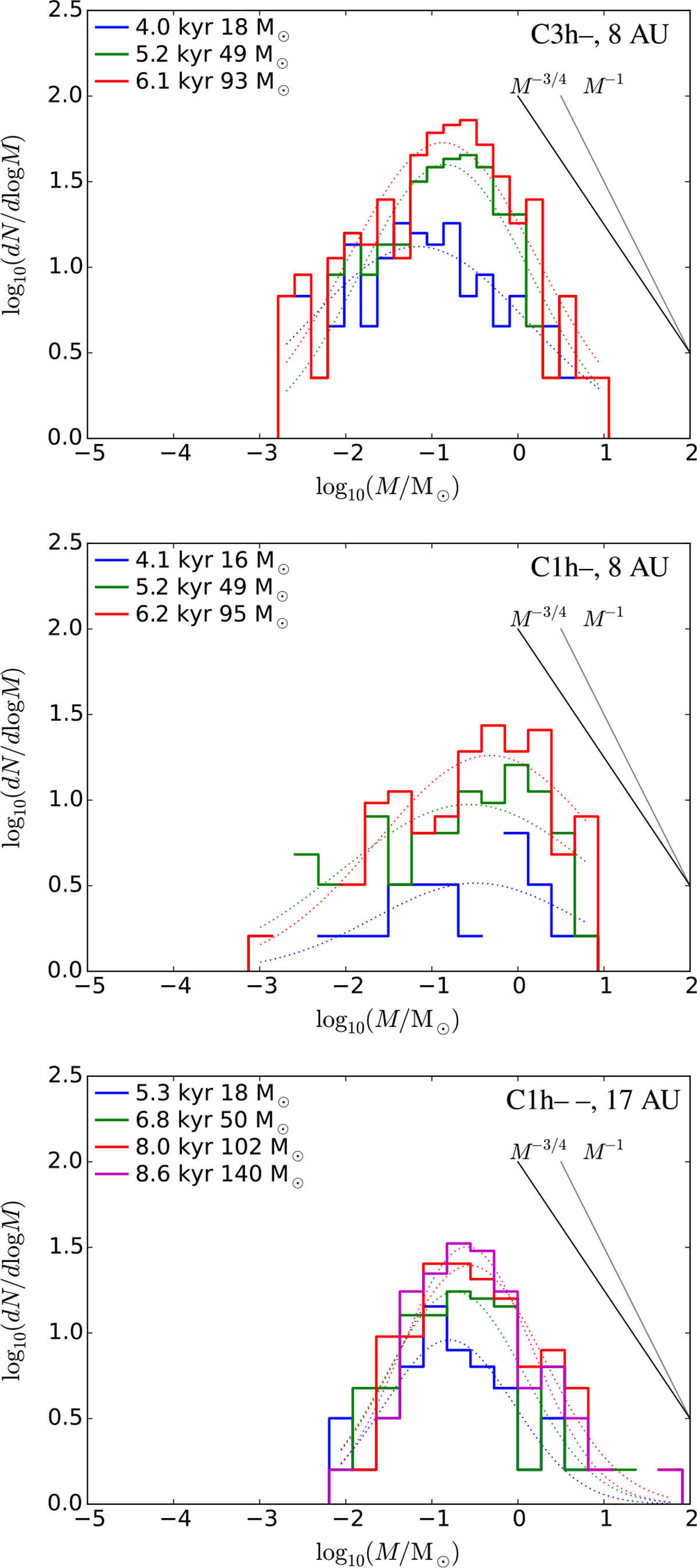
Stellar distributions of runs with a smoothed two-slope polytropic eos with γ = 5∕3, lowered nad at 3 × 109 (C3h–) and 109 cm−3 (C1h–, C1h– –). The characteristic mass of the stellar distribution increases with decreasing nad. At nad = 109 cm−3, the stellar distribution becomes top-heavy with improved resolution from 17 to 8 AU.

Current usage metrics show cumulative count of Article Views (full-text article views including HTML views, PDF and ePub downloads, according to the available data) and Abstracts Views on Vision4Press platform.

Data correspond to usage on the plateform after 2015. The current usage metrics is available 48-96 hours after online publication and is updated daily on week days.

Initial download of the metrics may take a while.