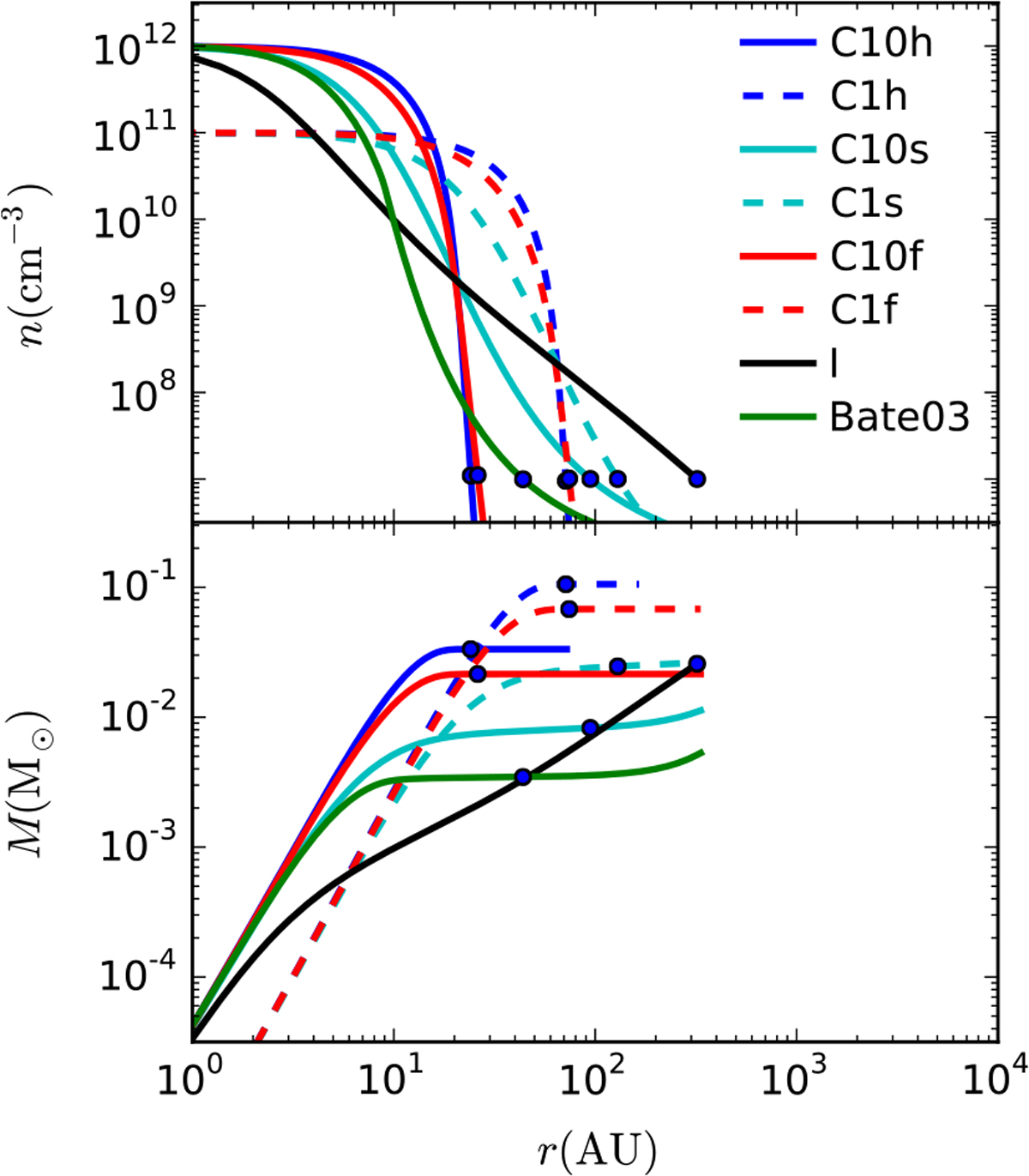
Fig. 6

First Larson cores for various equations of state. The hydrostatic equilibrium equations are integrated with n0 = 100 nad as boundary condition. We present cases with γ = 5∕3 (blue), γ = 4∕3 (cyan), full eos (red), and isothermal (black). The legends correspond to the labels of the simulations, with solid lines for nad = 1010 cm−3 and dashed lines for 109 cm−3. We also show the case γ = 7∕5 with nad = 2.45 × 1010 cm−3 by Bate et al. (2003, green). The values of n0 are chosenfor illustrative purpose, and the actual values reached in simulations depend on the resolution (highest density resolved, see Fig. 7). The circle indicates the radius at which the density reaches 107 cm −3, a reference ambient density that truncates the core. As long as the density profile decreases steeply enough, the choice of this truncation density has no strong effect on the resulting mass.
Current usage metrics show cumulative count of Article Views (full-text article views including HTML views, PDF and ePub downloads, according to the available data) and Abstracts Views on Vision4Press platform.
Data correspond to usage on the plateform after 2015. The current usage metrics is available 48-96 hours after online publication and is updated daily on week days.
Initial download of the metrics may take a while.