Free Access
This article is a note for:
[https://doi.org/10.1051/0004-6361/201731522]


Fig. 7

image

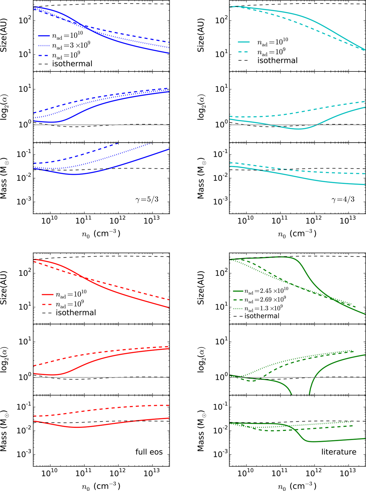
Properties of the first Larson core plotted against the central density n0. The hydrostatic equilibrium Eq. (7) is solved with various nad and γ values, and truncated at the ambient density n = 107 cm−3. Three quantities are shown: the radius at which the density decreases to n = 107   cm−3, the local power law exponent α = −rdn∕drn, and the integrated mass. Top left: γ = 5∕3; top right: γ = 4∕3; bottom left: full eos. Bottom right: eos taken from Bate et al. (2003, solid), Bate (2005, dashed), and Bonnell et al. (2011, dotted). Each time the isothermal case is plotted in black for comparison. A core is well defined only when α ≫ 2, and thus giving a characteristic mass of the first Larson core. When a core is well defined, its mass is almost constant regardless of n0 when γ = 4∕3 or full eos is used. In contrast, the core mass increases with increasing n0 when γ = 5∕3, which explains the peak mass shift between runs C1h– and C1h– –.

Current usage metrics show cumulative count of Article Views (full-text article views including HTML views, PDF and ePub downloads, according to the available data) and Abstracts Views on Vision4Press platform.

Data correspond to usage on the plateform after 2015. The current usage metrics is available 48-96 hours after online publication and is updated daily on week days.

Initial download of the metrics may take a while.