Free Access
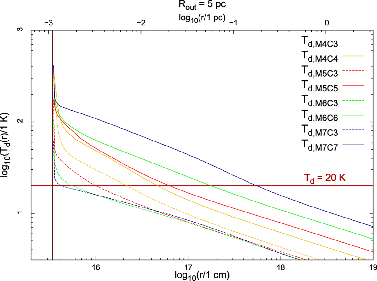
Fig. 10

Grain-size averaged dust temperature distribution for different cluster and molecular cloud models with an outer radius of Rout = 5 pc. The verticaldark brown line marks the sublimation radius.
Current usage metrics show cumulative count of Article Views (full-text article views including HTML views, PDF and ePub downloads, according to the available data) and Abstracts Views on Vision4Press platform.
Data correspond to usage on the plateform after 2015. The current usage metrics is available 48-96 hours after online publication and is updated daily on week days.
Initial download of the metrics may take a while.