Free Access
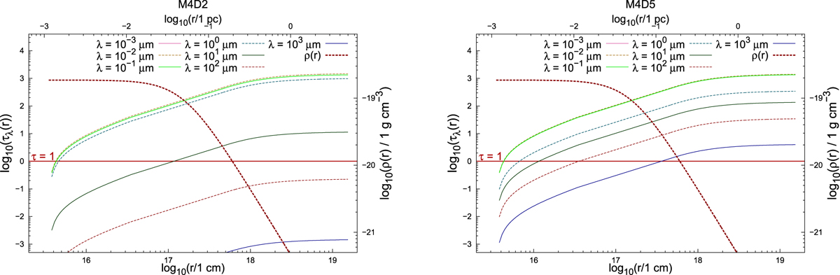
Fig. 3

Radial optical depth τλ and density ρ distribution for the M4 molecular cloud. The optical depth is calculated for different wavelengths λ applying the dust models D2 (left panel) and D5 (right panel).
Current usage metrics show cumulative count of Article Views (full-text article views including HTML views, PDF and ePub downloads, according to the available data) and Abstracts Views on Vision4Press platform.
Data correspond to usage on the plateform after 2015. The current usage metrics is available 48-96 hours after online publication and is updated daily on week days.
Initial download of the metrics may take a while.