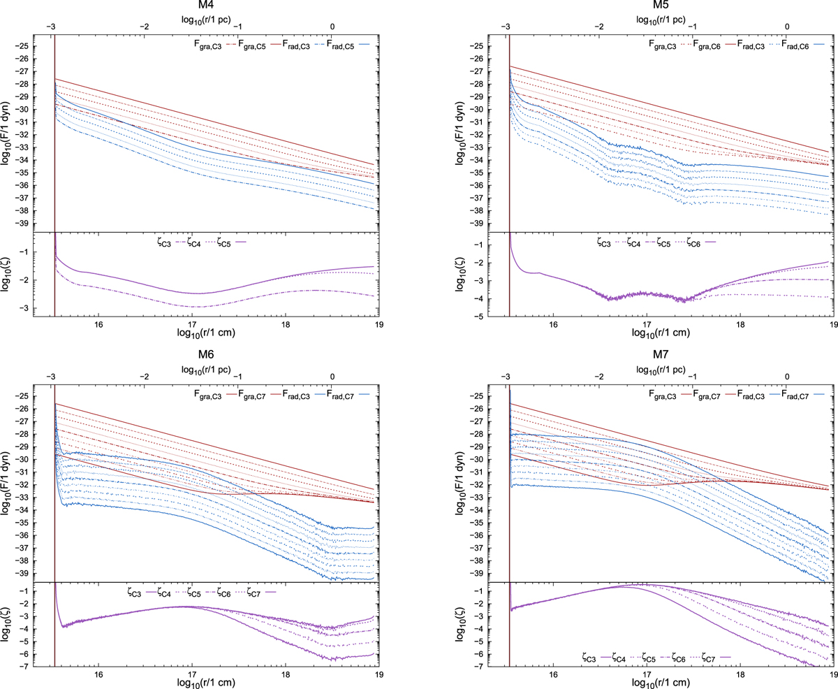
Fig. 5

Gravity (Fgra, red lines) in comparison to radiative forces (Frad, blue lines) for models M4 (top left), M5 (top right left), M6 (bottom left), and M7 (bottom right). The ratio of forces is defined as ζ = Frad∕Fgra (purple lines). All cases have a constant dust temperature of Td = 20 K, an outer radius of Rout = 5 pc and use dust model D2. We note that ζ < 1 everywhere, implying that radiation pressure does not support the cloud against gravitational contraction. The vertical brown line marks the sublimation radius.
Current usage metrics show cumulative count of Article Views (full-text article views including HTML views, PDF and ePub downloads, according to the available data) and Abstracts Views on Vision4Press platform.
Data correspond to usage on the plateform after 2015. The current usage metrics is available 48-96 hours after online publication and is updated daily on week days.
Initial download of the metrics may take a while.