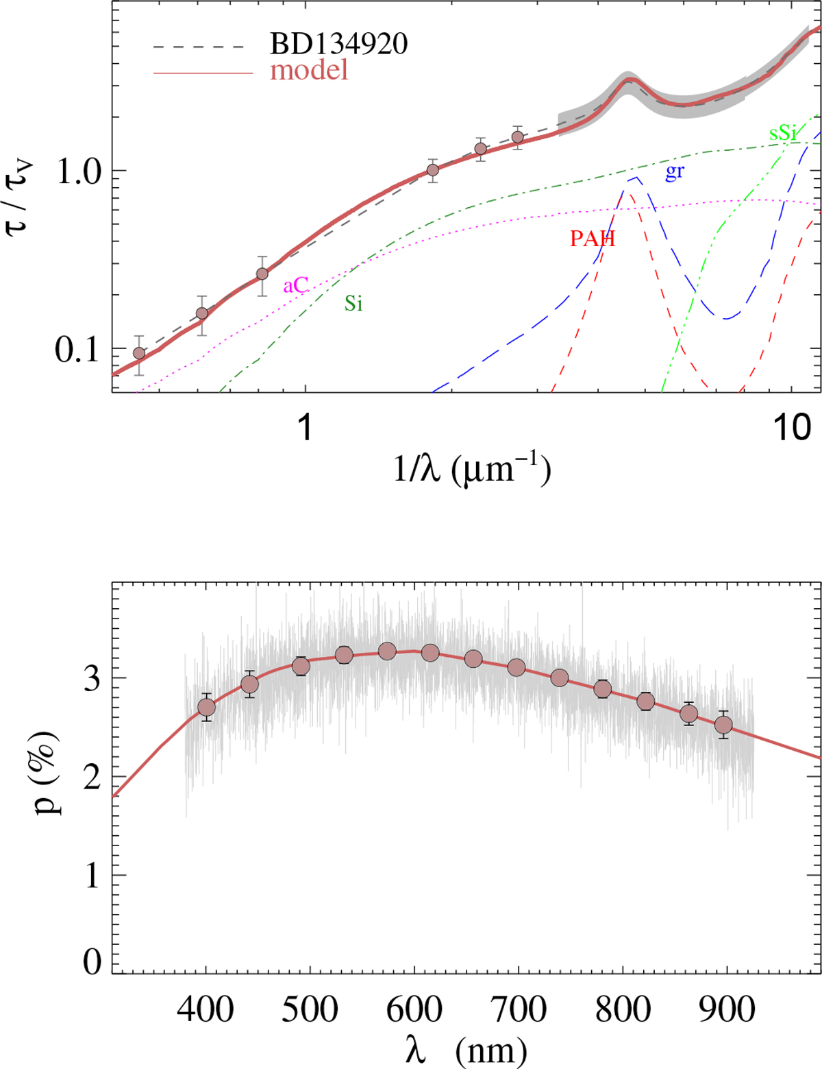
Fig. A.1

Top: observed and modeled extinction curve of BD 134920. The extinction curve by Fitzpatrick (2004), Valencic et al. (2004) and Gordon et al. (2009) is shown with a dashed line, UBV JHK photometrywith filled circles, IUE/FUSE spectra are represented by the grey shaded area, and uncertainties are 1 σ. The model is shown (brown solid line) as well as the contribution of the different dust populations to the extinction (various colored and labeled lines). Bottom: polarisation spectra observed with FORS2 are shown with grey lines, and the and best-fit model with brown solid lines; the filled circles (with 1 σ error bars) are the same data rebinned to a spectral resolution of λ∕Δλ ~ 50.
Current usage metrics show cumulative count of Article Views (full-text article views including HTML views, PDF and ePub downloads, according to the available data) and Abstracts Views on Vision4Press platform.
Data correspond to usage on the plateform after 2015. The current usage metrics is available 48-96 hours after online publication and is updated daily on week days.
Initial download of the metrics may take a while.