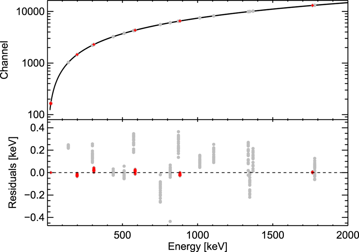
Fig. 7

Energy calibration of line centroids; channel units vs. energy, line in upper graph, dashed line in lower graph. It is derived from Gaussian fits to a few strong lines which are marked in red. Data points show the centroids as extracted from our fits, for the strongest single/isolated background lines. The lower graph shows the deviations of each line centroid from the expected energy.
Current usage metrics show cumulative count of Article Views (full-text article views including HTML views, PDF and ePub downloads, according to the available data) and Abstracts Views on Vision4Press platform.
Data correspond to usage on the plateform after 2015. The current usage metrics is available 48-96 hours after online publication and is updated daily on week days.
Initial download of the metrics may take a while.