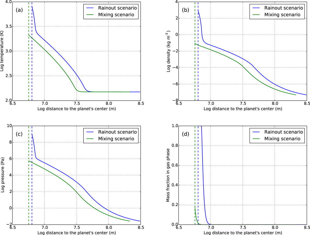
Fig. 4

Temperature (a), density (b), pressure (c), and high-Z enrichment (d) interior curves of a planet formed by pebble accretion. They are plotted at the point in the planet’s evolution when core growth is equal to 10% of the pebble accretion rate. This corresponds to core masses of 0.58 M⊕ in the rainout scenario (blue curves) and 0.41 M⊕ in the mixing case (green curves). The dotted vertical lines indicate the position of the core.
Current usage metrics show cumulative count of Article Views (full-text article views including HTML views, PDF and ePub downloads, according to the available data) and Abstracts Views on Vision4Press platform.
Data correspond to usage on the plateform after 2015. The current usage metrics is available 48-96 hours after online publication and is updated daily on week days.
Initial download of the metrics may take a while.