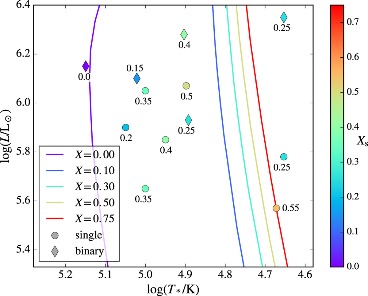
Fig. 2

Hertzsprung–Russell diagram with lines indicating the positions of homogeneous stellar models with hydrogen mass fractions X of 0, 0.1, 0.3, 0.5, and 0.75. The metallicity Z is as described in Sect. 3, while the helium mass fraction Y is given by Y= 1 − X − Z. The models with X = 0 are helium burning, the others are hydrogen burning. The numbers near the scatter points indicate the surface hydrogen mass fractions Xs of the observed SMC WR stars. Both the lines and the scatter points are color coded for Xs . Circles indicate apparently single stars; diamonds indicate binaries.
Current usage metrics show cumulative count of Article Views (full-text article views including HTML views, PDF and ePub downloads, according to the available data) and Abstracts Views on Vision4Press platform.
Data correspond to usage on the plateform after 2015. The current usage metrics is available 48-96 hours after online publication and is updated daily on week days.
Initial download of the metrics may take a while.