Free Access
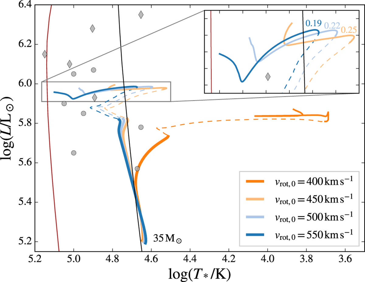
Fig. 4

Same as Fig. 1, but now 35 M⊙ models with various initial rotation velocities are displayed. The inset at the top right corner zooms in on the core heliumburning phase. The numbers near the tracks in the inset indicate their surface hydrogen mass fraction Xs at the moment helium is ignited in the core.
Current usage metrics show cumulative count of Article Views (full-text article views including HTML views, PDF and ePub downloads, according to the available data) and Abstracts Views on Vision4Press platform.
Data correspond to usage on the plateform after 2015. The current usage metrics is available 48-96 hours after online publication and is updated daily on week days.
Initial download of the metrics may take a while.