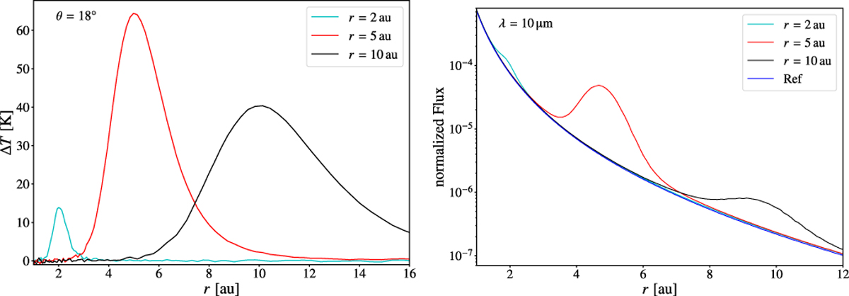
Fig. 6

Temperature difference of disturbed and undisturbed disk at 18° above the midplane (left) andradial profiles of the intensity maps at 10 μm (N band) (right) of a massive disk (log Mdust∕M⊙ = −3.5) with companion ℱ as a second heating source at 2, 5 and 10 au. For larger stellar separations, the heated area becomes larger but the temperature increase is lower than for smaller distances, and thus the flux excess above the reference disk is lower. As seen from the observer, 18° above the midplane is close to the τ = 1-layer.
Current usage metrics show cumulative count of Article Views (full-text article views including HTML views, PDF and ePub downloads, according to the available data) and Abstracts Views on Vision4Press platform.
Data correspond to usage on the plateform after 2015. The current usage metrics is available 48-96 hours after online publication and is updated daily on week days.
Initial download of the metrics may take a while.