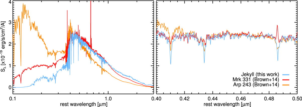
Fig. 11

Best stellar model of Jekyll, compared to the models of two local LIRGs with Balmer absorption lines, Mrk 331 and Arp 224, obtained by Brown et al. (2014). All these models use spectra to constrain the strength of the Balmer absorption lines (the spectra are not shown for clarity). the models of the two LIRGs were rescaled to match the continuum level of Jekyll at rest wavelengths between 0.45 and 0.48 μm.
Current usage metrics show cumulative count of Article Views (full-text article views including HTML views, PDF and ePub downloads, according to the available data) and Abstracts Views on Vision4Press platform.
Data correspond to usage on the plateform after 2015. The current usage metrics is available 48-96 hours after online publication and is updated daily on week days.
Initial download of the metrics may take a while.