Free Access

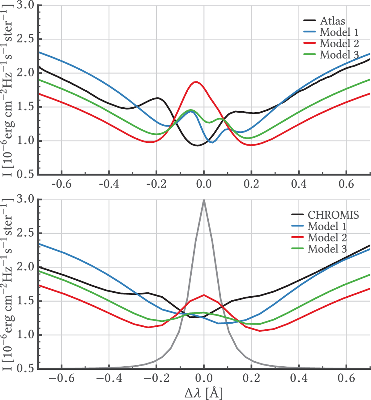
Fig. 10

image

Spatially averaged intensity profiles of the Ca II K line at μ = 1. Upper panel: undegraded synthetic profiles for Model 1, 2, and 3 (blue, red, and green) are compared with the Hamburg atlas profile (black). Lower panel: degraded synthetic profiles (same notation) are compared with the SST/CHROMIS profile from our observations (black). The gray curve indicates the assumed CHROMIS spectral transmission profile.

Current usage metrics show cumulative count of Article Views (full-text article views including HTML views, PDF and ePub downloads, according to the available data) and Abstracts Views on Vision4Press platform.

Data correspond to usage on the plateform after 2015. The current usage metrics is available 48-96 hours after online publication and is updated daily on week days.

Initial download of the metrics may take a while.