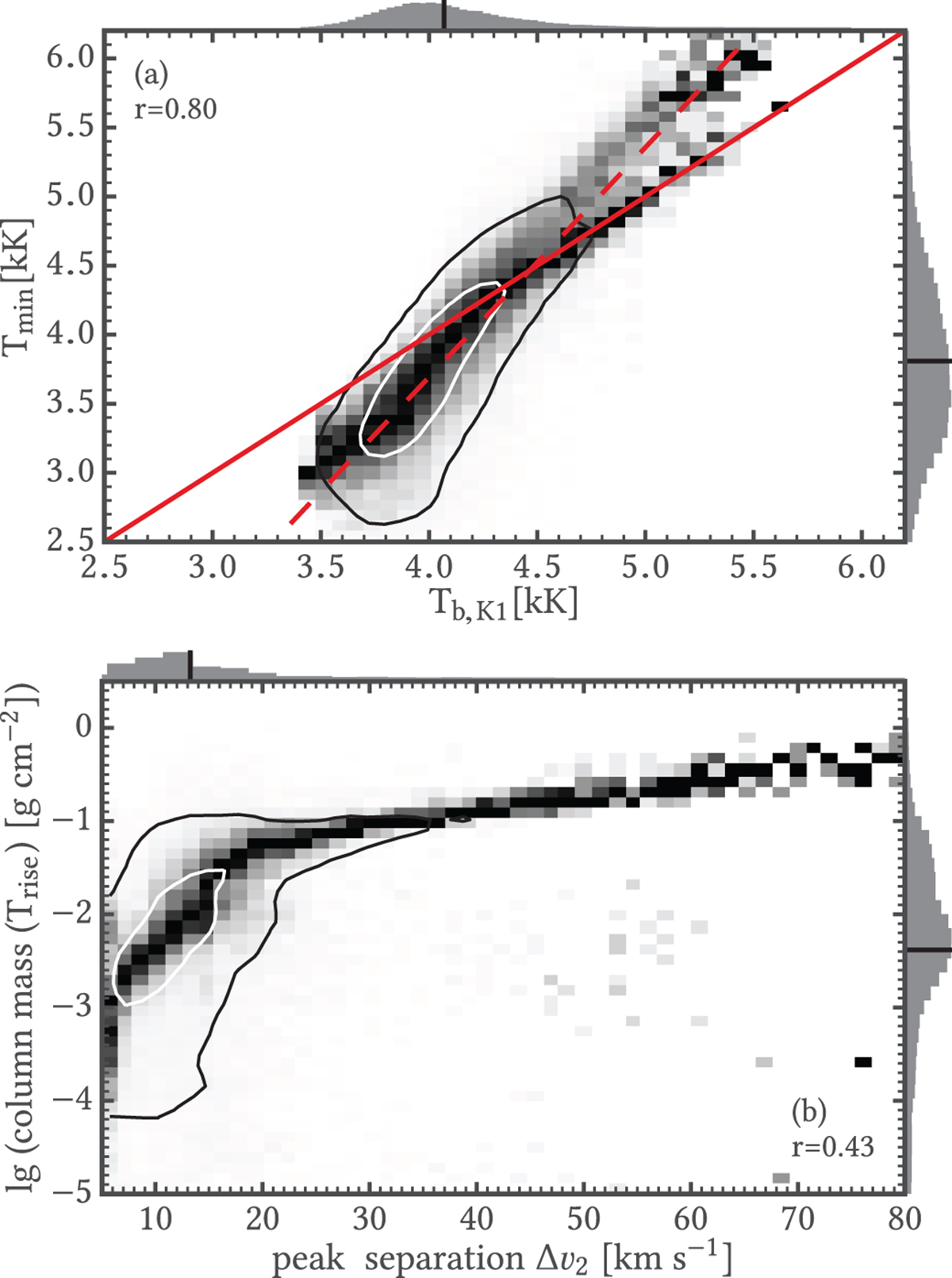
Fig. 20

Observed properties of the lower chromosphere from Model 1. Panel a: the averaged brightness temperature at K1 against the gas temperature at the temperature minimum is shown. The red solid line is y = x and the dashed line is the 3rd-degree polynomial fit. Panel b: the K2 peak separation against the column mass above the temperature rise is shown. The panels follow the same format as Fig. 6.
Current usage metrics show cumulative count of Article Views (full-text article views including HTML views, PDF and ePub downloads, according to the available data) and Abstracts Views on Vision4Press platform.
Data correspond to usage on the plateform after 2015. The current usage metrics is available 48-96 hours after online publication and is updated daily on week days.
Initial download of the metrics may take a while.