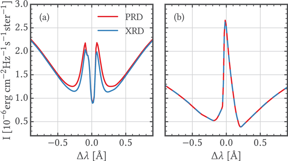
Fig. 4

Example profiles showing an effect (left) and no effect (right) of cross-redistribution (XRD; blue line) on the Ca II K intensity computed in 3D, extracted from two columns from Model 2 at μ = 1. The same profiles computed with only partial redistribution but not cross-redistribution (PRD; red line) are given for comparison.
Current usage metrics show cumulative count of Article Views (full-text article views including HTML views, PDF and ePub downloads, according to the available data) and Abstracts Views on Vision4Press platform.
Data correspond to usage on the plateform after 2015. The current usage metrics is available 48-96 hours after online publication and is updated daily on week days.
Initial download of the metrics may take a while.