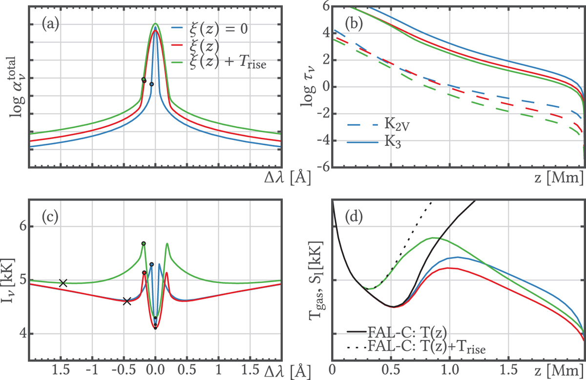
Fig. 8

A four-panel Eddington–Barbier line formation diagram for the Ca II K from the FAL-C model atmosphere in CRD. The computations are performed with three different cases: without microturbulence (ξ(z) = 0 km s−1; blue line), microturbulence (ξ(z) = 5 km s−1; red line), and with a deeper temperature rise and microturbulence (green line). Panel a: the total opacity as function of wavelength at the formation height of the peaks; panel b: the optical depth as function of height at the wavelength of at K2V (dashed) and K3 (solid); panel c: the vertically emergent intensity for the K line, and panel d: the gas temperature as a function of height (solid and dashed black) with the line source function (solid colored). The cross marks the position of K1V in panel c and the dot indicates the position of the K2V in panel a and K2V/K3 in panel c.
Current usage metrics show cumulative count of Article Views (full-text article views including HTML views, PDF and ePub downloads, according to the available data) and Abstracts Views on Vision4Press platform.
Data correspond to usage on the plateform after 2015. The current usage metrics is available 48-96 hours after online publication and is updated daily on week days.
Initial download of the metrics may take a while.