Free Access
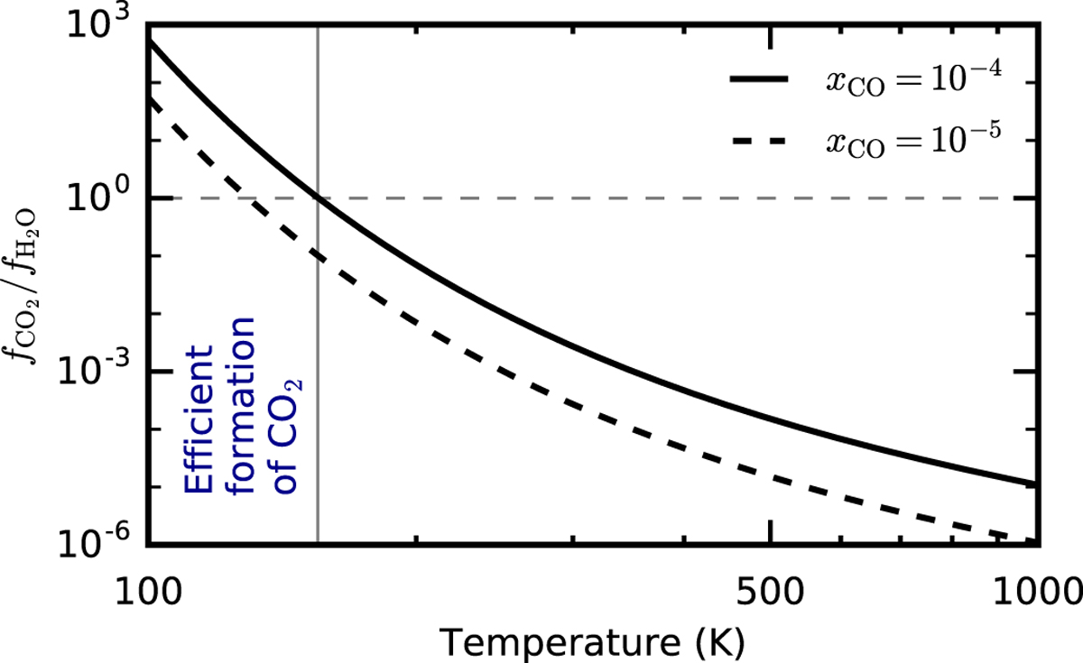
Fig. 1

Ratio of the CO2 to H2 O formation rate from a reaction of OH with CO and H2 respectively. Hydrogenation of OH to H2O dominates above 150 K. Formation times of CO2 and H2 O from OH are faster than the inner disk mixing time for all temperatures considered here.
Current usage metrics show cumulative count of Article Views (full-text article views including HTML views, PDF and ePub downloads, according to the available data) and Abstracts Views on Vision4Press platform.
Data correspond to usage on the plateform after 2015. The current usage metrics is available 48-96 hours after online publication and is updated daily on week days.
Initial download of the metrics may take a while.