Free Access

Fig. 6

image

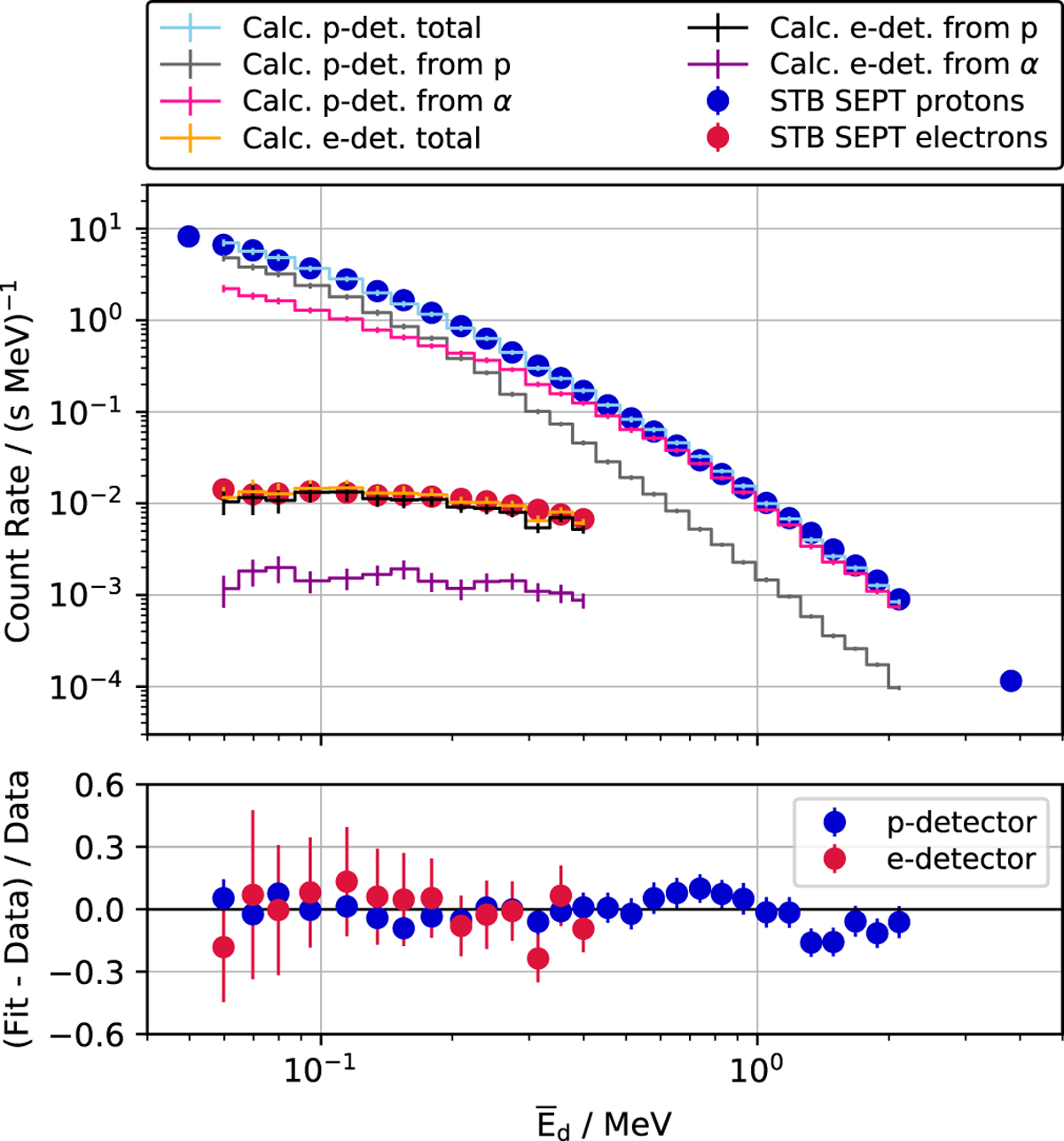
Upper panel: measured proton and electron count rates divided by the energy width of each channel are shown by the big dark blue and red dots from 13 to 17 UT, respectively. The histogram with light blue line gives the sum of the results of the fit for protons (light magenta line) and α-particles (gray line) in the ion channels. The lower orange line reflects the corresponding results for protons (black line) and α-particles (dark magenta line) in the electron channels. For completeness the ion flux from about 2.2 to 6.5 MeV is shown too. Lower panel: residuals for the ion and electron channels by the blue and red symbols, respectively.

Current usage metrics show cumulative count of Article Views (full-text article views including HTML views, PDF and ePub downloads, according to the available data) and Abstracts Views on Vision4Press platform.

Data correspond to usage on the plateform after 2015. The current usage metrics is available 48-96 hours after online publication and is updated daily on week days.

Initial download of the metrics may take a while.