Fig. 5

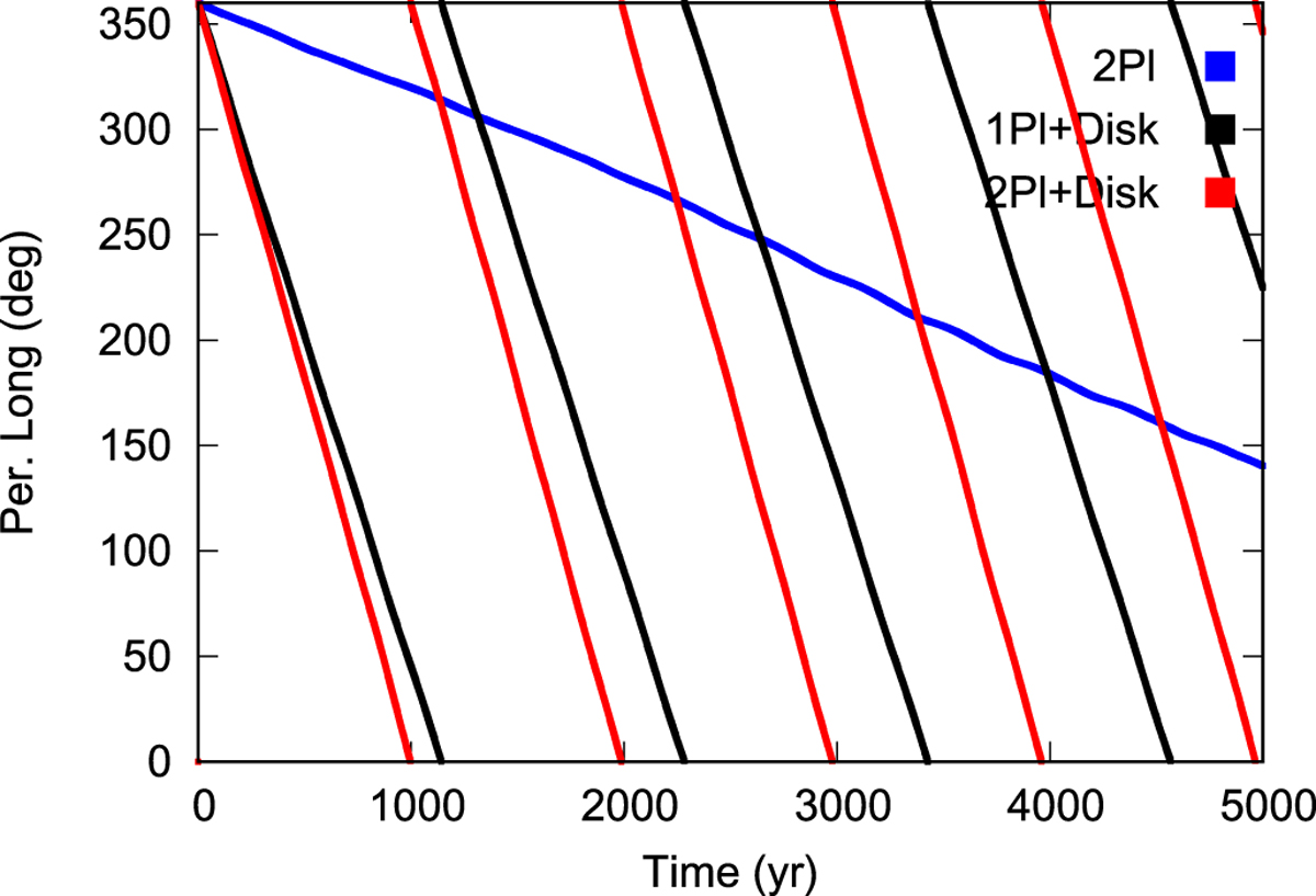
Evolution with time of the pericenter longitude ϖ in three different models as in Fig. 1. In this case the planets have five and three Earth masses, respectively, and the inner one has a semimajor axis of 1 au. The disk potential causes a negative precession which adds up to that due to the mutual gravitational perturbations of the planets. As a consequence, the circulation rate of ϖ is negative in the full model with two planets and the disk potential (red line), contrary to what happens for massive planets within a disk gap. It is also faster compared to that observed in a pure three-body problem (blue line) and for a single planet (black line).
Current usage metrics show cumulative count of Article Views (full-text article views including HTML views, PDF and ePub downloads, according to the available data) and Abstracts Views on Vision4Press platform.
Data correspond to usage on the plateform after 2015. The current usage metrics is available 48-96 hours after online publication and is updated daily on week days.
Initial download of the metrics may take a while.