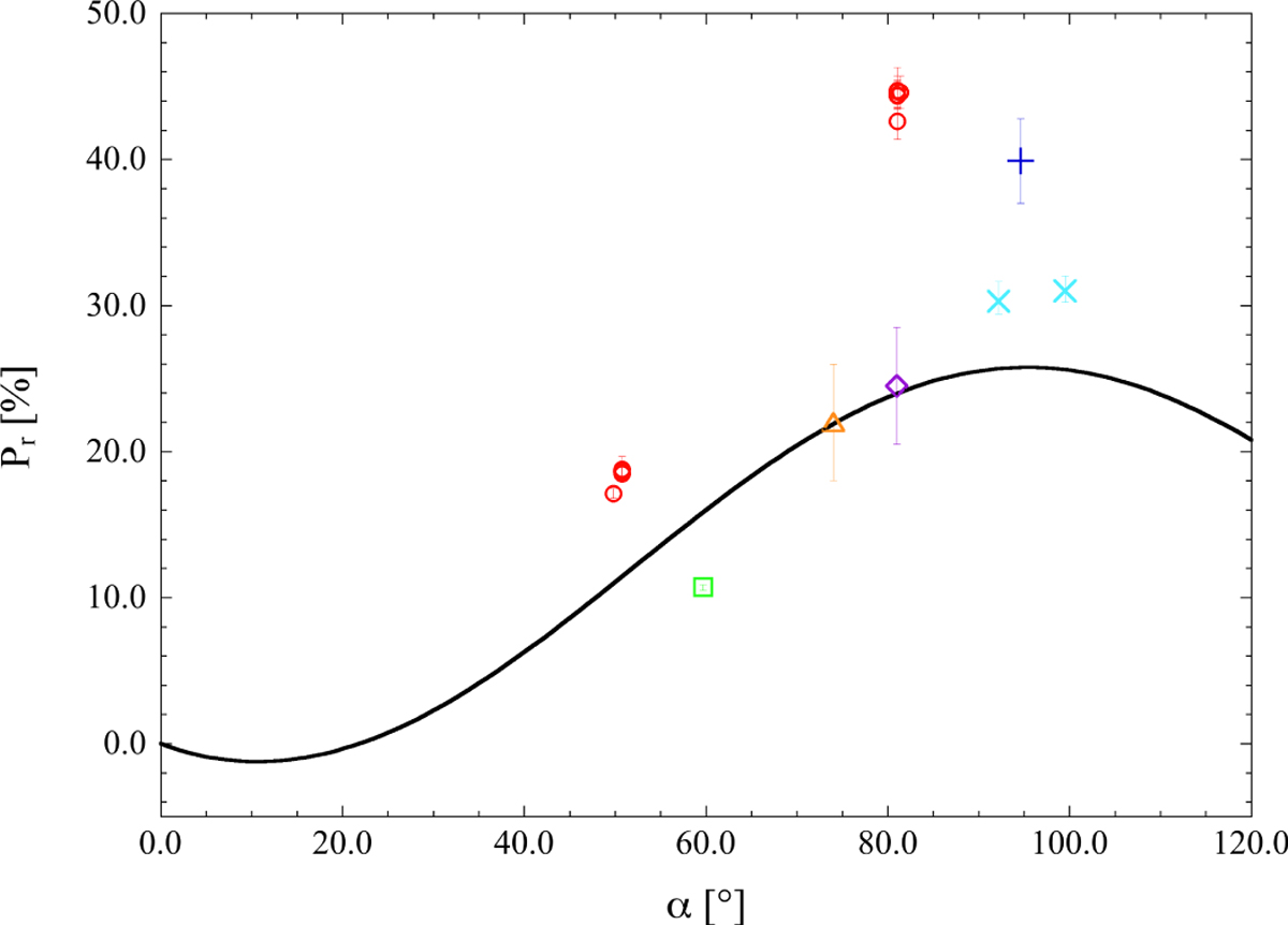
Fig. 1

Comparison of linear polarization degrees of 1998 KU2 and other bodies in the solar system in the red region (about 650 ± 50 nm). The open circles indicate data corresponding to 1998 KU2 . Other symbols denote data for Ra-Shalom (open square), Phobos (open diamond), Deimos (open triangle), 2P/Encke (plus), and 209P/LINEAR (crosses). The solid line corresponds to high-polarization comets (Levasseur-Regourd et al. 1996).
Current usage metrics show cumulative count of Article Views (full-text article views including HTML views, PDF and ePub downloads, according to the available data) and Abstracts Views on Vision4Press platform.
Data correspond to usage on the plateform after 2015. The current usage metrics is available 48-96 hours after online publication and is updated daily on week days.
Initial download of the metrics may take a while.