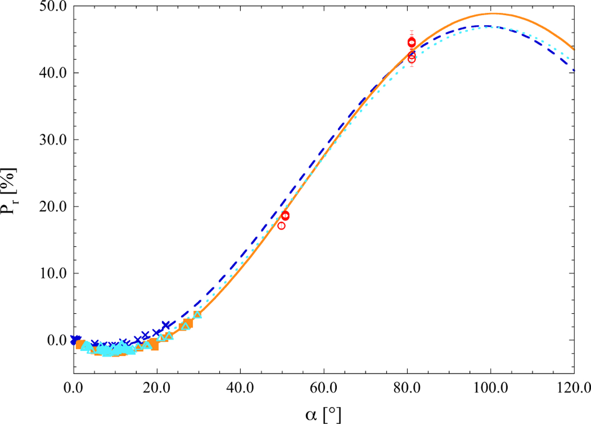
Fig. 2

Polarization phase curve of 1998 KU2 along with those of three C-subgroup asteroids. Triple fitlines with the Lumme and Muinonen function (Eq. (7)) indicate F-types (dashed line and crosses), Ch- and Cgh-types (solid line and filled squares), and other C-types (dotted line and open triangles) with geometric albedo <0.1 (Zellner et al. 1974; Zellner & Gradie 1976; Belskaya et al. 1987, 2009b; Hadamcik et al. 2011; Gil-Hutton & Cañada-Assandri 2012; Nakayama et al. 2000, the unpublished data of Kiselev and Lupishko including the Asteroid Polarimetric Database (Lupishko 2014)).
Current usage metrics show cumulative count of Article Views (full-text article views including HTML views, PDF and ePub downloads, according to the available data) and Abstracts Views on Vision4Press platform.
Data correspond to usage on the plateform after 2015. The current usage metrics is available 48-96 hours after online publication and is updated daily on week days.
Initial download of the metrics may take a while.