Free Access

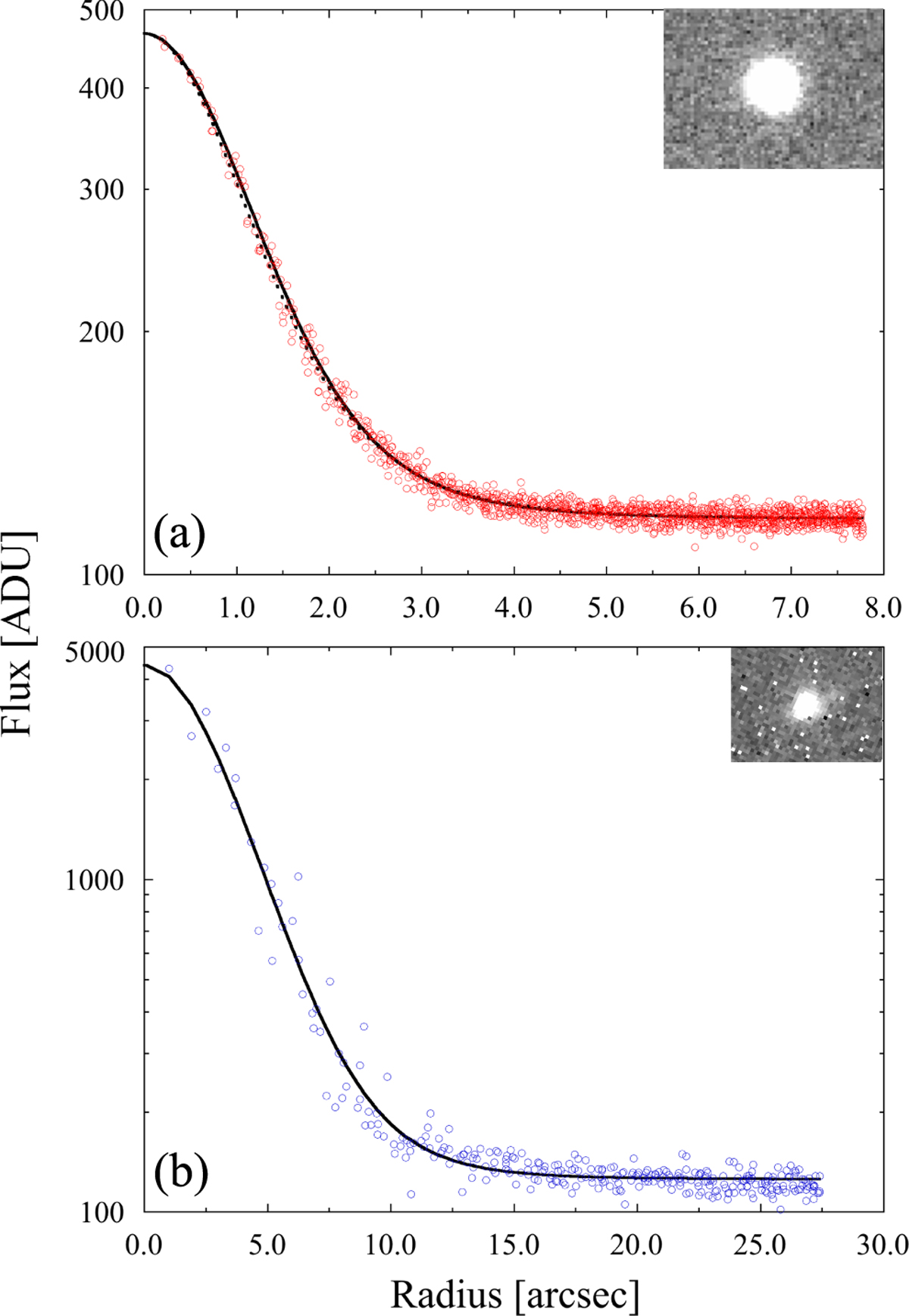
Fig. 3

image

Radial profiles obtained from observations made in (a) this work at UT 2015 June 12 in the RC band and (b) NEOWISE at UT 2015 July 08 in the W2 (4.6 μm) band. The open circles indicate the extracted data points of the radial profile of 1998 KU2 . The solid and dotted lines correspond to Moffat’s PSF of the star scaled to the flux of 1998 KU2 .

Current usage metrics show cumulative count of Article Views (full-text article views including HTML views, PDF and ePub downloads, according to the available data) and Abstracts Views on Vision4Press platform.

Data correspond to usage on the plateform after 2015. The current usage metrics is available 48-96 hours after online publication and is updated daily on week days.

Initial download of the metrics may take a while.