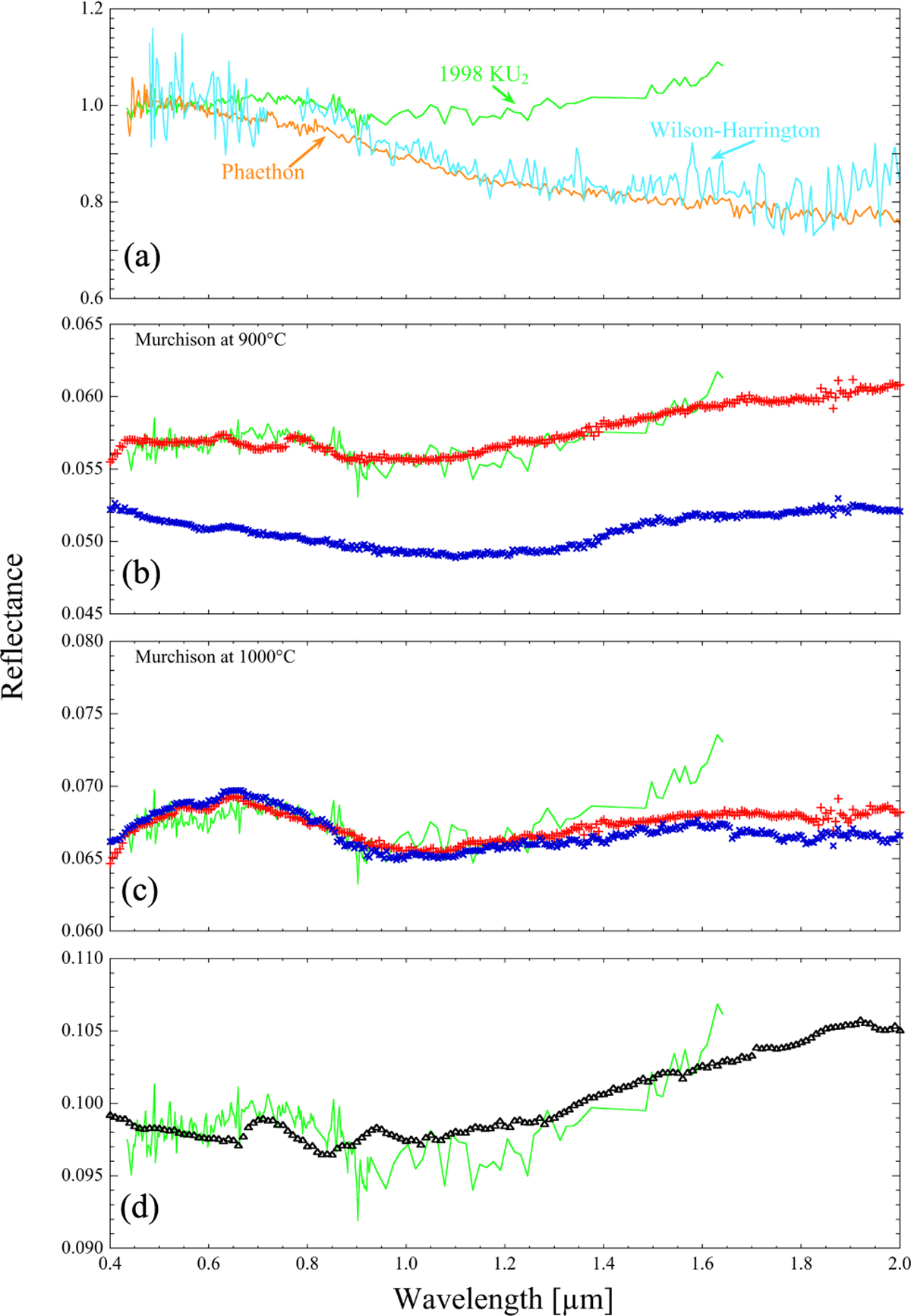
Fig. 4

Comparison of spectral features of asteroids and meteorites in the visible and near-infrared regions. 1998 KU2 (solid lines) is compared with (a) other F-type near-Earth asteroids, Phaethon and Wilson-Harrington, (b)–(c) the heated Murchison meteorites at 900 ° C or 1000 ° C (the pluses and crosses indicate a grain size of <0.63 μm and a grain size range of 63–125 μm, respectively), (d) the Almahata Sitta meteorite (triangle). Asteroid and meteorite spectra were taken from SMASS3, Ishiguro et al. (2011) and RELAB4, M4AST5 (Popescu et al. 2012) was used as the matching tool.
Current usage metrics show cumulative count of Article Views (full-text article views including HTML views, PDF and ePub downloads, according to the available data) and Abstracts Views on Vision4Press platform.
Data correspond to usage on the plateform after 2015. The current usage metrics is available 48-96 hours after online publication and is updated daily on week days.
Initial download of the metrics may take a while.