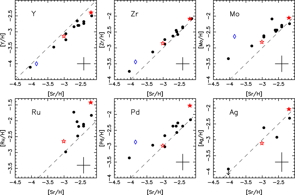
Fig. 2

Six relations between the ratios [X/H] vs [Sr/H] where X is a first peak element, for the (up to) 11 “LP first stars” studied here (black dots). The blue open diamond represents the peculiar C-rich and Ba-poor star CS 22949-037. The two reference stars HD 122563 (r-poor star) and CS 31082-001 (r-rich star) are represented by an open and a filled red star symbol, respectively. The dashed line shows the one-to-one correspondence line. The typical error is indicated in the right corner of the figures.
Current usage metrics show cumulative count of Article Views (full-text article views including HTML views, PDF and ePub downloads, according to the available data) and Abstracts Views on Vision4Press platform.
Data correspond to usage on the plateform after 2015. The current usage metrics is available 48-96 hours after online publication and is updated daily on week days.
Initial download of the metrics may take a while.