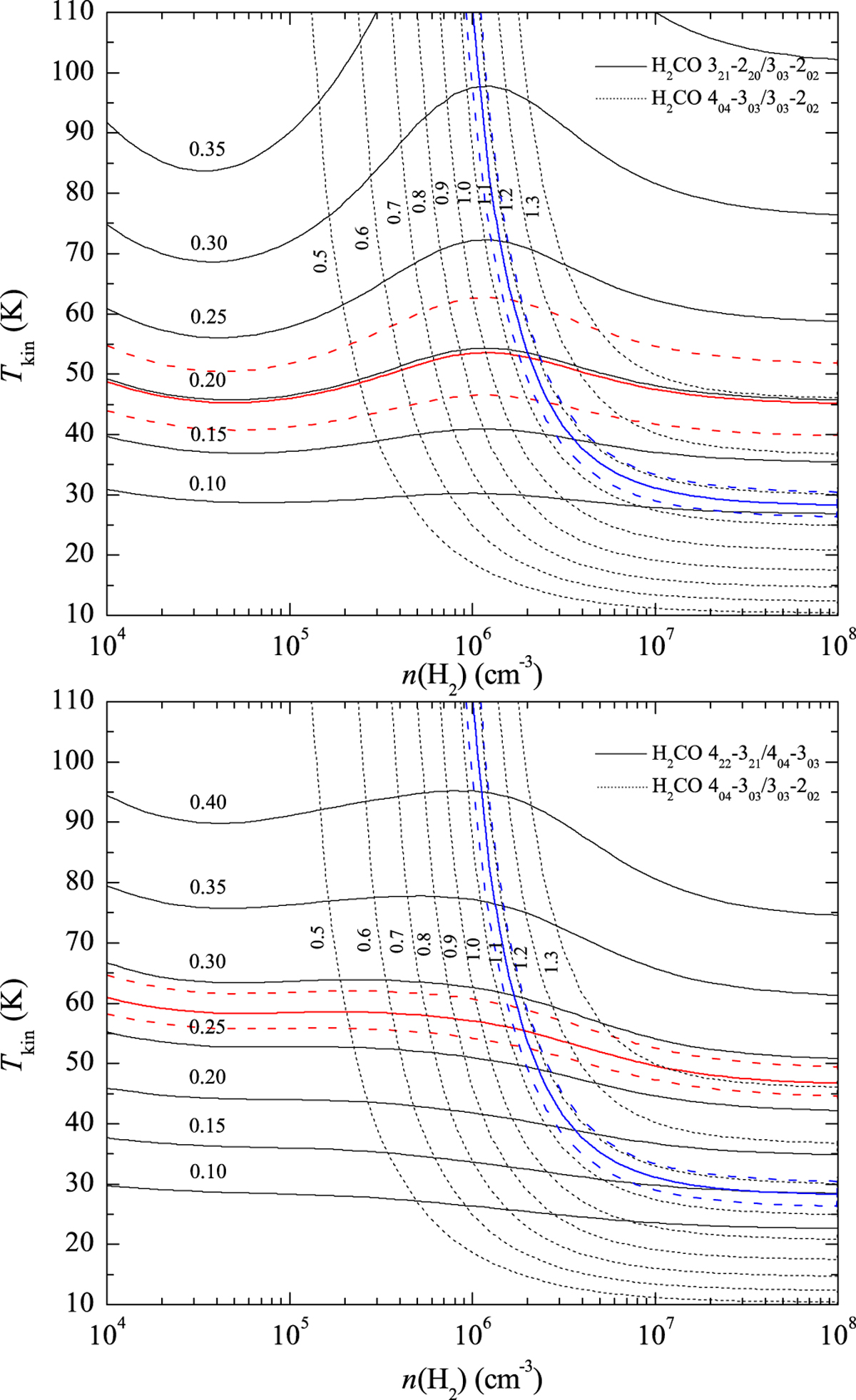
Fig. 4

Example of RADEX non-LTE modelling of the para-H2 CO kinetic temperature for AGAL008.684−00.367. Black solid and dashed lines are para-H2 CO integrated intensity ratios. Para-H2 CO 404–303/303–202 (blue solid and dashed lines represent observed value and uncertainty, accounting for different beam-filling factors), 321 –220/303–202 and 422 –321/404–303 integrated intensity ratios (top and bottom, red solid and dashed lines) for a para-H2 CO column density 2.8 × 1013 cm−2 are derived from the para-H2CO 404–303 integrated intensity and para-H2CO 404–303/303–202 ratio (see Sect. 3.3).
Current usage metrics show cumulative count of Article Views (full-text article views including HTML views, PDF and ePub downloads, according to the available data) and Abstracts Views on Vision4Press platform.
Data correspond to usage on the plateform after 2015. The current usage metrics is available 48-96 hours after online publication and is updated daily on week days.
Initial download of the metrics may take a while.