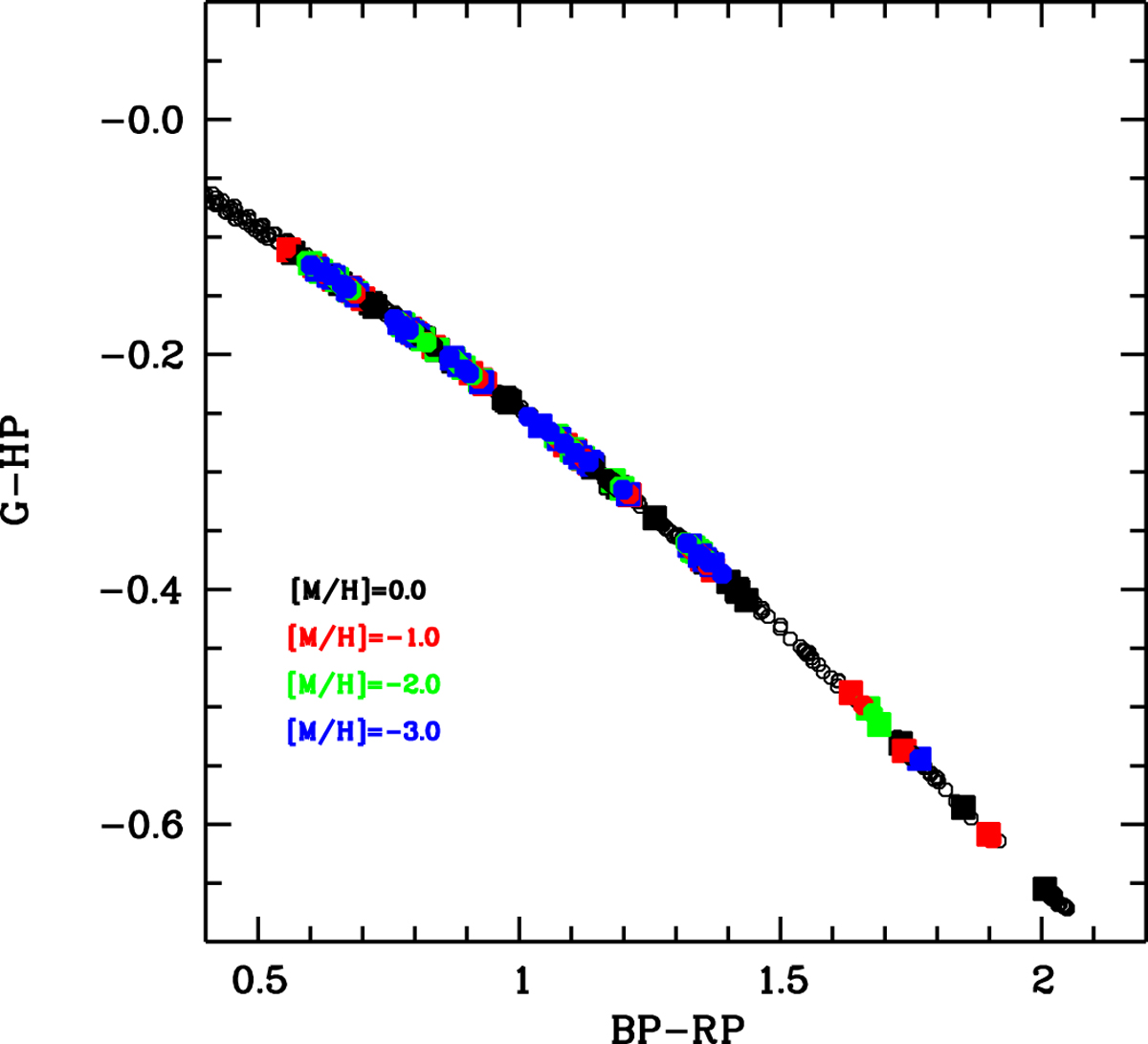
Fig. 6

The colour G − Hp as a functionof the BP − RP colour. Colours computed from models of different metallicity are shown with a different colour: black for [M/H] = 0.0, red for [M/H] = − 1.0, green for [M/H] = − 2.0 and blue for [M/H] = − 3.0. Open circles are the colours computed from ATLAS models, while filled squares are the corresponding 3D-corrected colours. We stress that the Gaia bands are the pre-launch bands.
Current usage metrics show cumulative count of Article Views (full-text article views including HTML views, PDF and ePub downloads, according to the available data) and Abstracts Views on Vision4Press platform.
Data correspond to usage on the plateform after 2015. The current usage metrics is available 48-96 hours after online publication and is updated daily on week days.
Initial download of the metrics may take a while.