Free Access
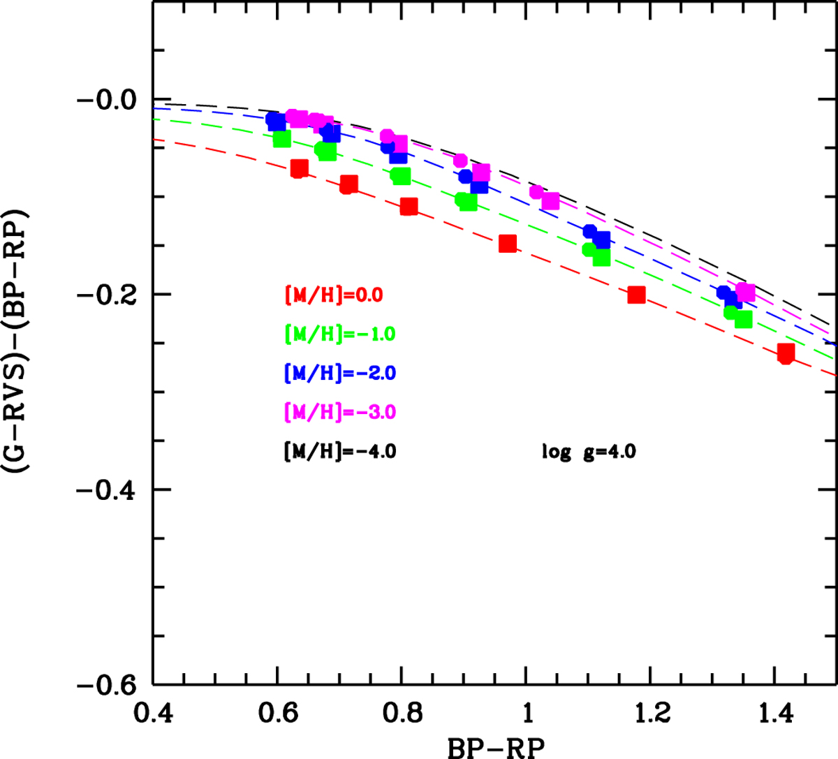
Fig. 8

The CaT colour as a function of the BP − RP colour for models with logg = 4.0. Filled circles are the colours from the ATLAS models and filled squares are the 3D-corrected colours.
Current usage metrics show cumulative count of Article Views (full-text article views including HTML views, PDF and ePub downloads, according to the available data) and Abstracts Views on Vision4Press platform.
Data correspond to usage on the plateform after 2015. The current usage metrics is available 48-96 hours after online publication and is updated daily on week days.
Initial download of the metrics may take a while.