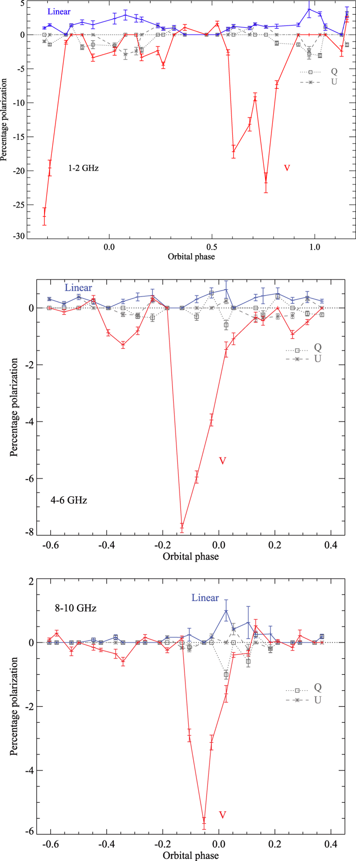
Fig. 12

The dependence of polarization on orbital phase at 1.5 GHz (upper panel), 5 GHz (middle panel) and 9 GHz (lower panel). Data were imaged in all four Stokes parameters in 10, 10 and 6 min time bins respectively (i.e. averaging over beat period behaviour). We show the circular polarization percentage (Stokes V∕I) and the total linear polarization percentage (), as well as the Stokes Q and U terms. An identically zero polarization indicates that imfit was unable to identify a source at the location of AR Sco in that Stokes parameter.
Current usage metrics show cumulative count of Article Views (full-text article views including HTML views, PDF and ePub downloads, according to the available data) and Abstracts Views on Vision4Press platform.
Data correspond to usage on the plateform after 2015. The current usage metrics is available 48-96 hours after online publication and is updated daily on week days.
Initial download of the metrics may take a while.