Free Access
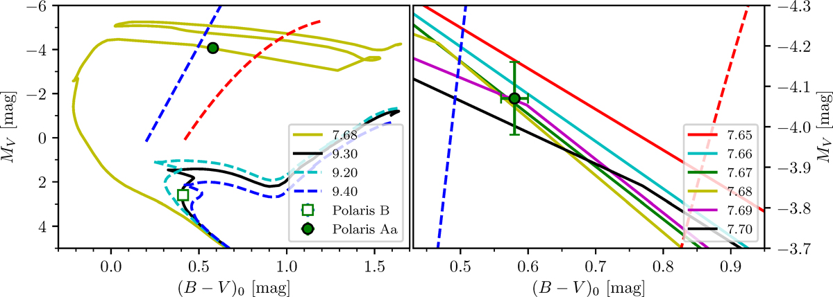
Fig. 3

Color-magnitude diagram for Polaris with predicted Z⊙
isochrones ofdifferent loga
as labeled. The position of Polaris B is clearly discrepant with the isochrone that
matches Polaris Aa, indicating a significant difference in age (best fit isochrone for
log a = 9.3).
MV
and
values for Polaris Aa and B taken from B18.
Current usage metrics show cumulative count of Article Views (full-text article views including HTML views, PDF and ePub downloads, according to the available data) and Abstracts Views on Vision4Press platform.
Data correspond to usage on the plateform after 2015. The current usage metrics is available 48-96 hours after online publication and is updated daily on week days.
Initial download of the metrics may take a while.