Fig. 6

image

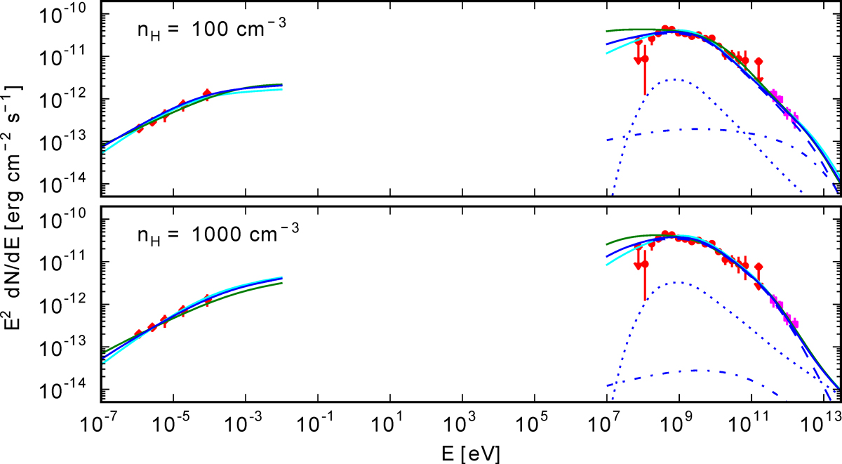
Same as Fig. 5 but for the leptonic-dominant scenario. The upper and lower panels show reproduced spectra of (b1–3) and (b4–6), respectively (see Table 3). The cases (b1)/(b4), (b2)/(b5), and (b3)/(b6) are represented by cyan, blue, and green lines, respectively, in the upper/lower panel. The decomposed emission is shown for the cases (b2) and (b5) in the upper and lower panels, respectively.

Current usage metrics show cumulative count of Article Views (full-text article views including HTML views, PDF and ePub downloads, according to the available data) and Abstracts Views on Vision4Press platform.

Data correspond to usage on the plateform after 2015. The current usage metrics is available 48-96 hours after online publication and is updated daily on week days.

Initial download of the metrics may take a while.