Fig. 5

image

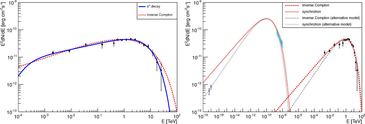
Left: spectral energy distribution of SNR RX J0852.0−4622 in the GeV-TeV band. Filled squares reflect the emission detected by Fermi-LAT, while filled circles show the H.E.S.S. data. Error bars reflect statistical errors. The lines represent fits of the leptonic (dashed red) and hadronic (solid blue) γ-ray emission models to the data. Right: broadband spectral energy distribution of SNR RX J0852.0−4622 in the leptonic scenario. The MWL data are indicated as follows: radio data are denoted with filled blue triangles, X-ray are indicated with cyan bowties, GeV γ-rays are indicated with filled squares, TeV γ-rays are denoted with filled circles. The error bars of the Fermi-LAT and H.E.S.S. data points reflect statistical errors only. The filled blue bowtie represents the 90% confidence level statistical uncertainty band on the X-ray data; the open bowtie represents systematic uncertainties. Red lines represent the emission from the electron population as obtained from the fit of the GeV-TeV data (cf. left figure) and gray lines represent the emission from a modified electron population where all parameters were decreased by 0.6σ of the quadratically added statistical and systematic uncertainties. Dashed lines correspond to IC emission and dotted lines correspond to synchrotron radiation.

Current usage metrics show cumulative count of Article Views (full-text article views including HTML views, PDF and ePub downloads, according to the available data) and Abstracts Views on Vision4Press platform.

Data correspond to usage on the plateform after 2015. The current usage metrics is available 48-96 hours after online publication and is updated daily on week days.

Initial download of the metrics may take a while.