Free Access

Fig. 2

image

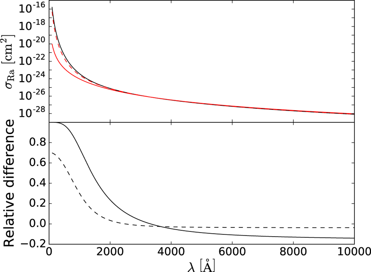
Comparison between different Rayleigh scattering prescriptions used in the literature. The black solid line is the prescription adopted in this work (Dalgarno & Williams 1962) and recommended by Seager (2010). The red solid line is the prescription adopted in the previous version of the program, based on Karplus (1964). Finally, the red dashed line is the version adopted by Heng (2016), based on Cox (2000). The relative difference between the prescriptions by Dalgarno & Williams (1962) and Karplus (1964; lower panel, solid line) is negligible for wavelengths longer than 3300 Å, of interest for this work. The difference between Dalgarno & Williams (1962) and Cox (2000) is negligible even bluewards.

Current usage metrics show cumulative count of Article Views (full-text article views including HTML views, PDF and ePub downloads, according to the available data) and Abstracts Views on Vision4Press platform.

Data correspond to usage on the plateform after 2015. The current usage metrics is available 48-96 hours after online publication and is updated daily on week days.

Initial download of the metrics may take a while.