Free Access

Fig. 7

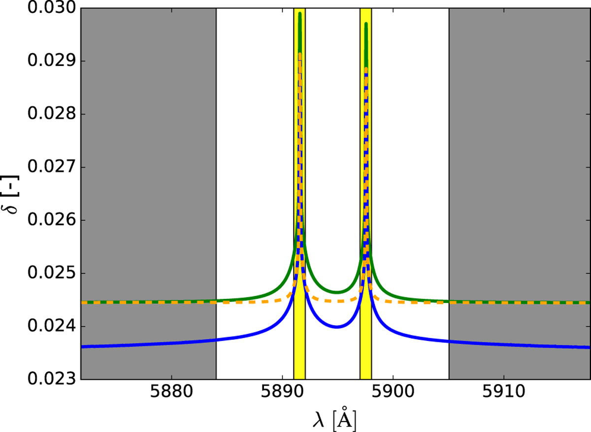
image

Theoretical models also shown in Fig. 6, with the same colour-coding (orange: BF-HST, blue: AF, green: 10Na), but before wavelength normalization. The HTT model is not shown for clarity. Aerosols do not affect the cores of the sodium lines of the BF-HST model, which overlaps with the aerosol-free model in the yellow band used to compute the merit functions. However, they mask the wings in the reference bands (grey background). This example shows that high-resolution data are sensitive to the presence of aerosols. The 10Na model has a higher absorption in the sodium region than the aerosol-free model because the global optical depth is higher. However, HARPS alone cannot distinguish between the two cases (Fig. 6) because of the double differential technique used to obtain transmission spectra.

Current usage metrics show cumulative count of Article Views (full-text article views including HTML views, PDF and ePub downloads, according to the available data) and Abstracts Views on Vision4Press platform.

Data correspond to usage on the plateform after 2015. The current usage metrics is available 48-96 hours after online publication and is updated daily on week days.

Initial download of the metrics may take a while.