Free Access

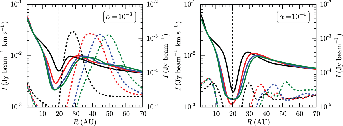
Fig. 7

image

Radial intensity profiles of the 12CO J = 3-2 line moment 0 map (solid lines) and of continuum at 850 μm (dashed lines) of all models, as in Fig. 6. The y-axis for the continuum emission is on the right axis of the plots; color coding is as in Fig. 5. The full continuum profiles can be found in de Juan Ovelar et al. (2016).

Current usage metrics show cumulative count of Article Views (full-text article views including HTML views, PDF and ePub downloads, according to the available data) and Abstracts Views on Vision4Press platform.

Data correspond to usage on the plateform after 2015. The current usage metrics is available 48-96 hours after online publication and is updated daily on week days.

Initial download of the metrics may take a while.