Free Access

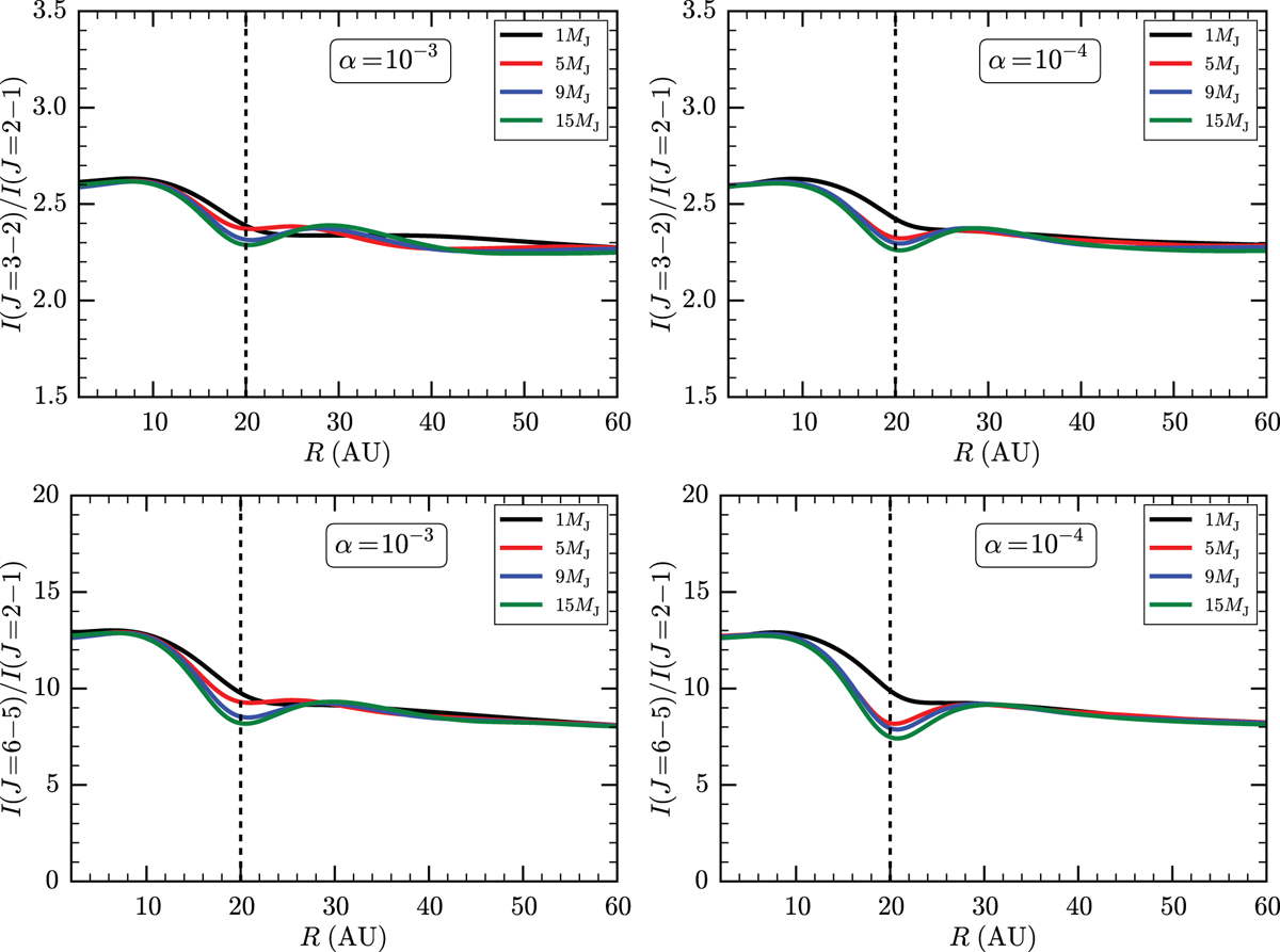
Fig. 9

image

Line ratios for 12CO. The emission was convolved with a 0.07′′ resolution beam for sources located at a distance of 150 pc. The vertical black dashed line indicates the radial location of the planet. The CO J = 6-5/2-1 line ratios shows the effects of the varying gas temperature much more clearly than the CO J = 3-2/2-1 line ratios.

Current usage metrics show cumulative count of Article Views (full-text article views including HTML views, PDF and ePub downloads, according to the available data) and Abstracts Views on Vision4Press platform.

Data correspond to usage on the plateform after 2015. The current usage metrics is available 48-96 hours after online publication and is updated daily on week days.

Initial download of the metrics may take a while.