Free Access

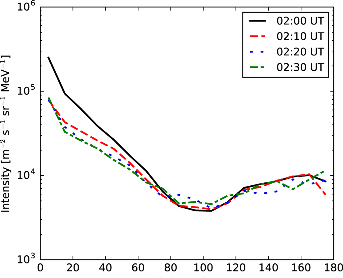
Fig. 7

image

Derived pitch-angle distribution for 10–600 MeV protons at Earth, using particle propagation simulation data for the early phase of GLE 71. Time in UT refers to the start of each ten-minute binning interval.

Current usage metrics show cumulative count of Article Views (full-text article views including HTML views, PDF and ePub downloads, according to the available data) and Abstracts Views on Vision4Press platform.

Data correspond to usage on the plateform after 2015. The current usage metrics is available 48-96 hours after online publication and is updated daily on week days.

Initial download of the metrics may take a while.