Free Access

Fig. 4

image

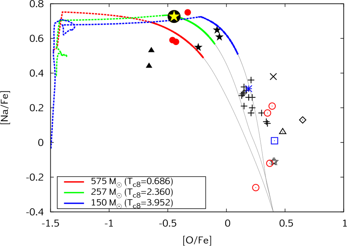
Theoretical predictions of the wind composition (surface Na abundance as a function of the surface O abundance, in solar Fe units) of three stellar models that become core-hydrogen-burning SGs are plotted with lines. The grey part of the lines correspond to surface compositions at Teff > 104 K (i.e. the evolution before reaching the SG branch), while the coloured part of the lines show surface composition at Teff < 104 K (i.e. on the SG branch). When the lines become dashed, they represent the composition of the envelope in the last computed model (i.e. deeper layers that could still be lost if the mass-loss rate was higher than assumed here). The evolutionary calculations ended at the core temperatures, Tc8, given in the legend (units in 108 K). The black-yellow star-symbol corresponds to the composition for the simulation presented in Sect. 3.5. Observational data of the surface composition of GC stars (ω Cen red, NGC 6752 black and M 4 blue) are plotted with dots of different colours and shapes, following Yong et al. (2003), Da Costa et al. (2013) and Denissenkov & Hartwick (2014). Open symbols mark the “primordial” population of stars, that is, those without pollution. Filled symbols mark the “extremely” polluted population of stars. Crosses mark the “intermediate” population stars, that is, those with some but not extreme pollution. For details of the observations and the properties of these categories, we refer to Yong et al. (2003) and Da Costa et al. (2013).

Current usage metrics show cumulative count of Article Views (full-text article views including HTML views, PDF and ePub downloads, according to the available data) and Abstracts Views on Vision4Press platform.

Data correspond to usage on the plateform after 2015. The current usage metrics is available 48-96 hours after online publication and is updated daily on week days.

Initial download of the metrics may take a while.