Free Access

Fig. 4

image

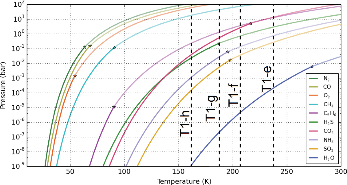
Equilibrium vapor pressures as a function of temperature for nine different species (where experimental data are available) that could be abundant on TRAPPIST-1 planets. Solid black lines where superimposed to indicate the equilibrium temperatures of TRAPPIST-1e,f,g, and h (assuming a surface albedo of 0.2). Stars indicate the positions of the triple points. These curves were adapted from Fray & Schmitt (2009).

Current usage metrics show cumulative count of Article Views (full-text article views including HTML views, PDF and ePub downloads, according to the available data) and Abstracts Views on Vision4Press platform.

Data correspond to usage on the plateform after 2015. The current usage metrics is available 48-96 hours after online publication and is updated daily on week days.

Initial download of the metrics may take a while.