Free Access

Fig. 1

image

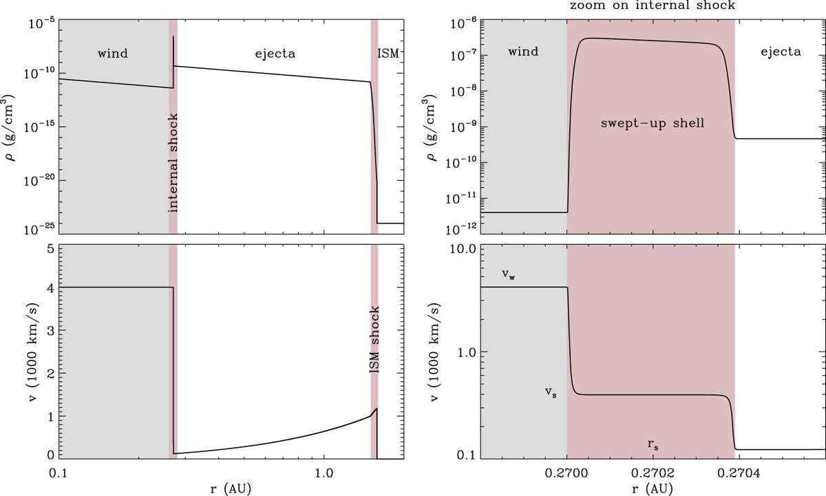
Structure of the interaction between a wind and a homologous ejecta with ρr−2 from a computation using PLUTO with an isothermal equation of state. The left panels show the density and the velocity of the material. The right panels zoom in on the internal shock structure at the interface between the wind and the ejecta. Another shock structure appears at the interface between the ejecta and the ISM at r ≈ 1.6 AU.

Current usage metrics show cumulative count of Article Views (full-text article views including HTML views, PDF and ePub downloads, according to the available data) and Abstracts Views on Vision4Press platform.

Data correspond to usage on the plateform after 2015. The current usage metrics is available 48-96 hours after online publication and is updated daily on week days.

Initial download of the metrics may take a while.