Free Access

Fig. 2

image

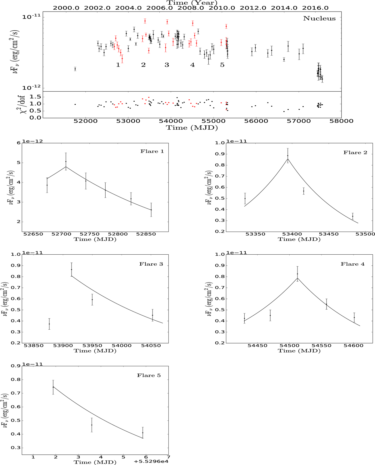
Top: Chandra 0.3–7 keV light curve for the nucleus from July 29, 2000 (MJD 51754), to March 17, 2016 (MJD 57464). Five flares (red data points, labelled 1–5) are selected for further analysis in the following. Bottom: zoomed-in light curves of the five flares. The solid lines show the fitting results by using Eq. (1).

Current usage metrics show cumulative count of Article Views (full-text article views including HTML views, PDF and ePub downloads, according to the available data) and Abstracts Views on Vision4Press platform.

Data correspond to usage on the plateform after 2015. The current usage metrics is available 48-96 hours after online publication and is updated daily on week days.

Initial download of the metrics may take a while.