Free Access

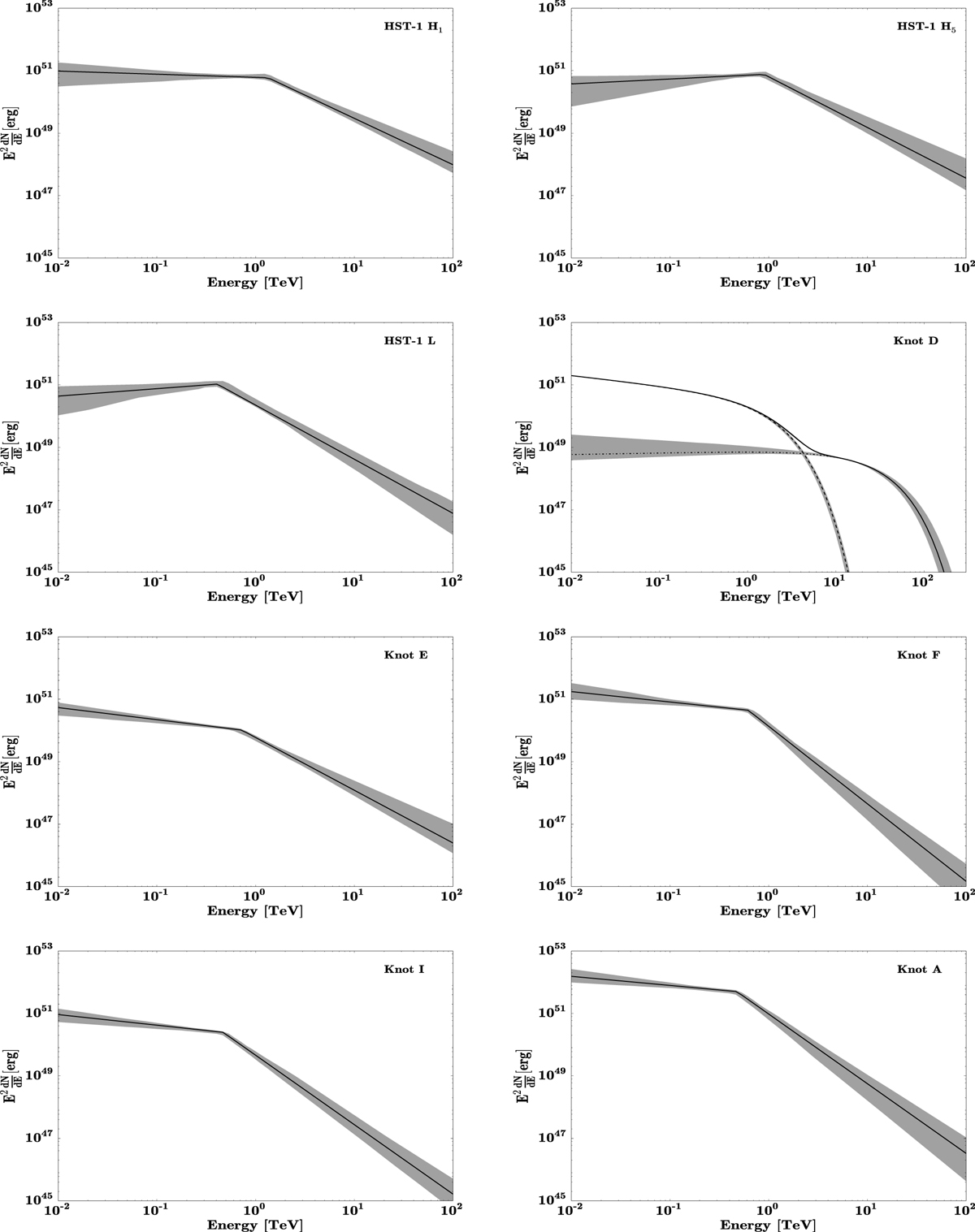
Fig. 7

image

Parent electron distributions derived from the fitting in Fig. 6. For knots D, B, and C, only the results of the two exponential cut-off power laws are shown. The grey shadow areas correspond to a 2σ confidence level.

Current usage metrics show cumulative count of Article Views (full-text article views including HTML views, PDF and ePub downloads, according to the available data) and Abstracts Views on Vision4Press platform.

Data correspond to usage on the plateform after 2015. The current usage metrics is available 48-96 hours after online publication and is updated daily on week days.

Initial download of the metrics may take a while.